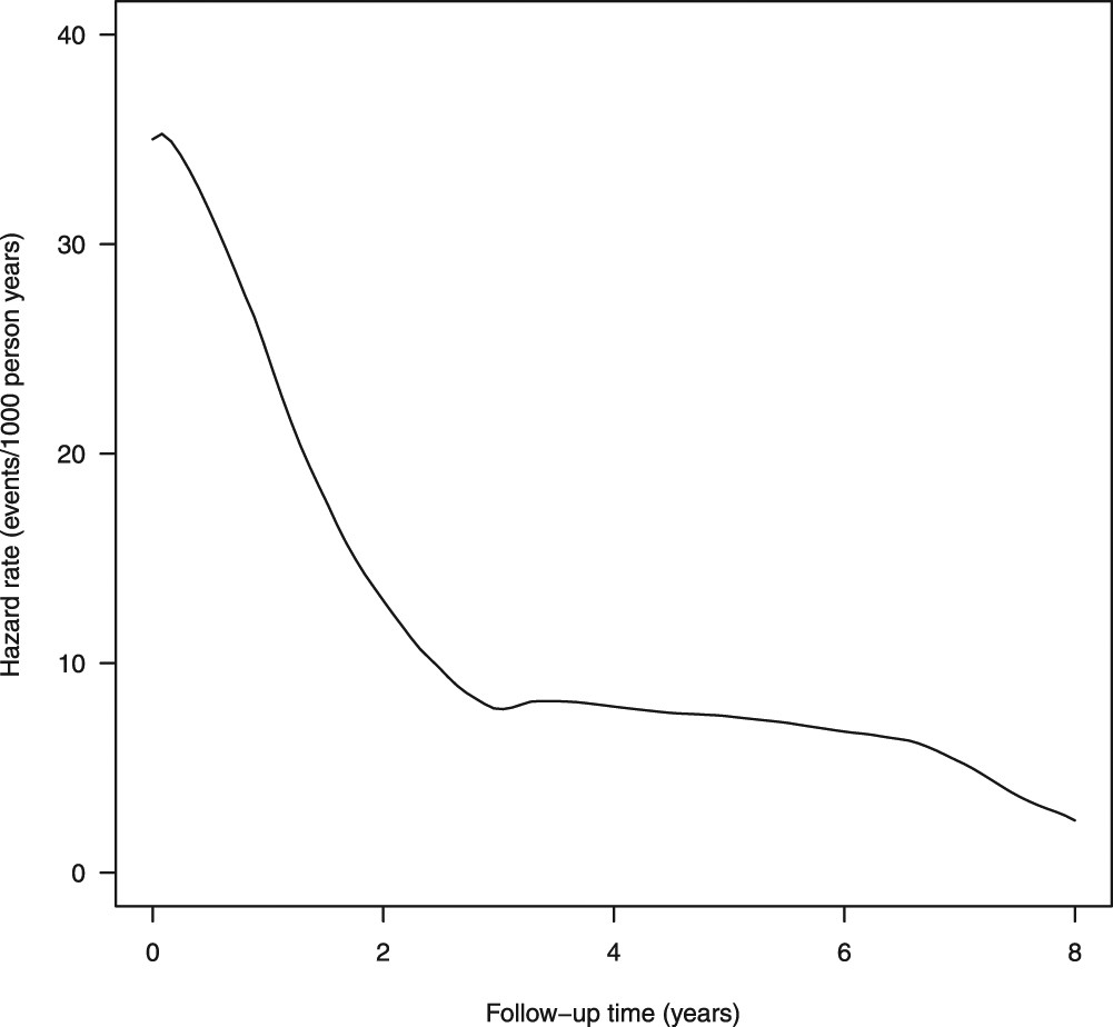
Figure 3

Hazard of readmission for further mesh surgery or due to complications from previous mesh surgery (in units of events per 1000 patient years) for those having surgical mesh insertion in the absence of concomitant procedures likely to influence outcomes.