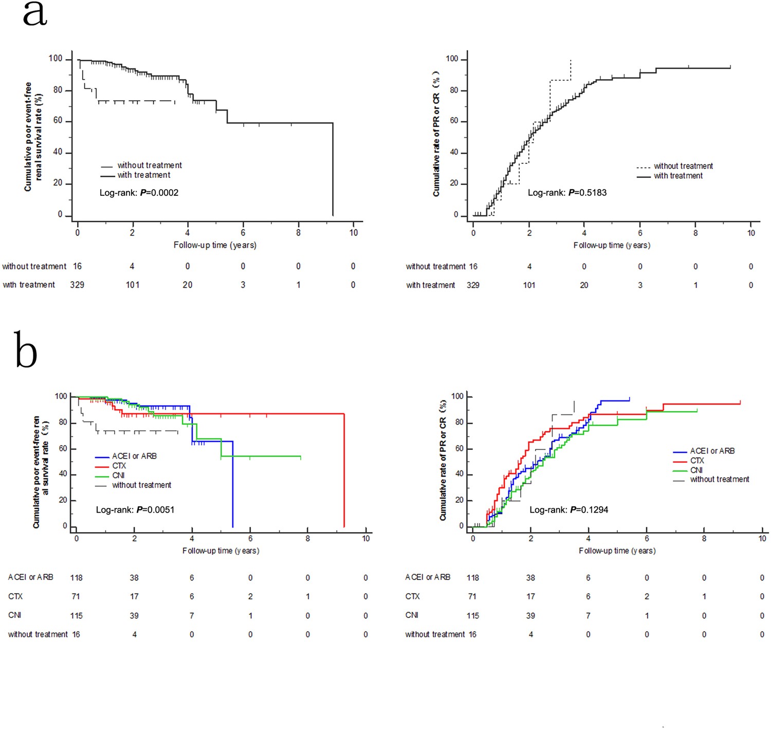
Figure 5

Kaplan-Meier analysis. (a) Cumulative poor event-free renal survival rate and cumulative incidence rates of PR or CR in all patients with and without treatment. (b) Cumulative poor event-free renal survival rate and cumulative incidence rates of PR or CR in all patients receiving different treatments.