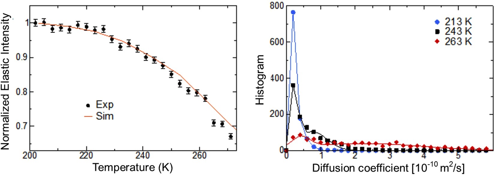
Figure 6

Dynamics of surface water investigated by simulation. Left Temperature dependence of the experimental (obtained by fitting lnSel vs Q2 over Q = 0.5–0.9 Å−1) and simulation-derived mean square displacements. Right Probability distribution of 1000 randomly-selected water molecules at three temperatures (symbols) and fits using two Gaussian functions (solid lines).