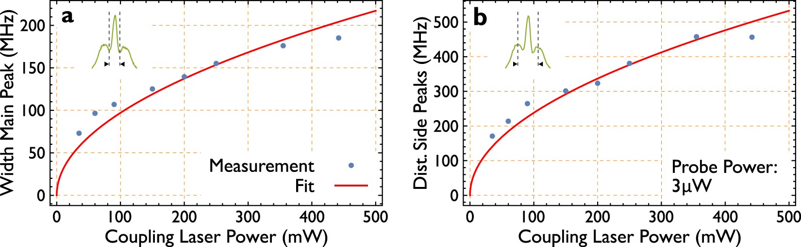
Figure 5

Power dependence fit. Evaluated distance of the peaks beside the main transparency peak which form the anti crossings (a) and the width of the main peak (b) in dependence of the power of the coupling laser. The data (blue) is obtained from the left set of peaks (F = 2) in Fig. 4. Fitted to the data is a root function illustrated in (red) and defined by Eqn 2.