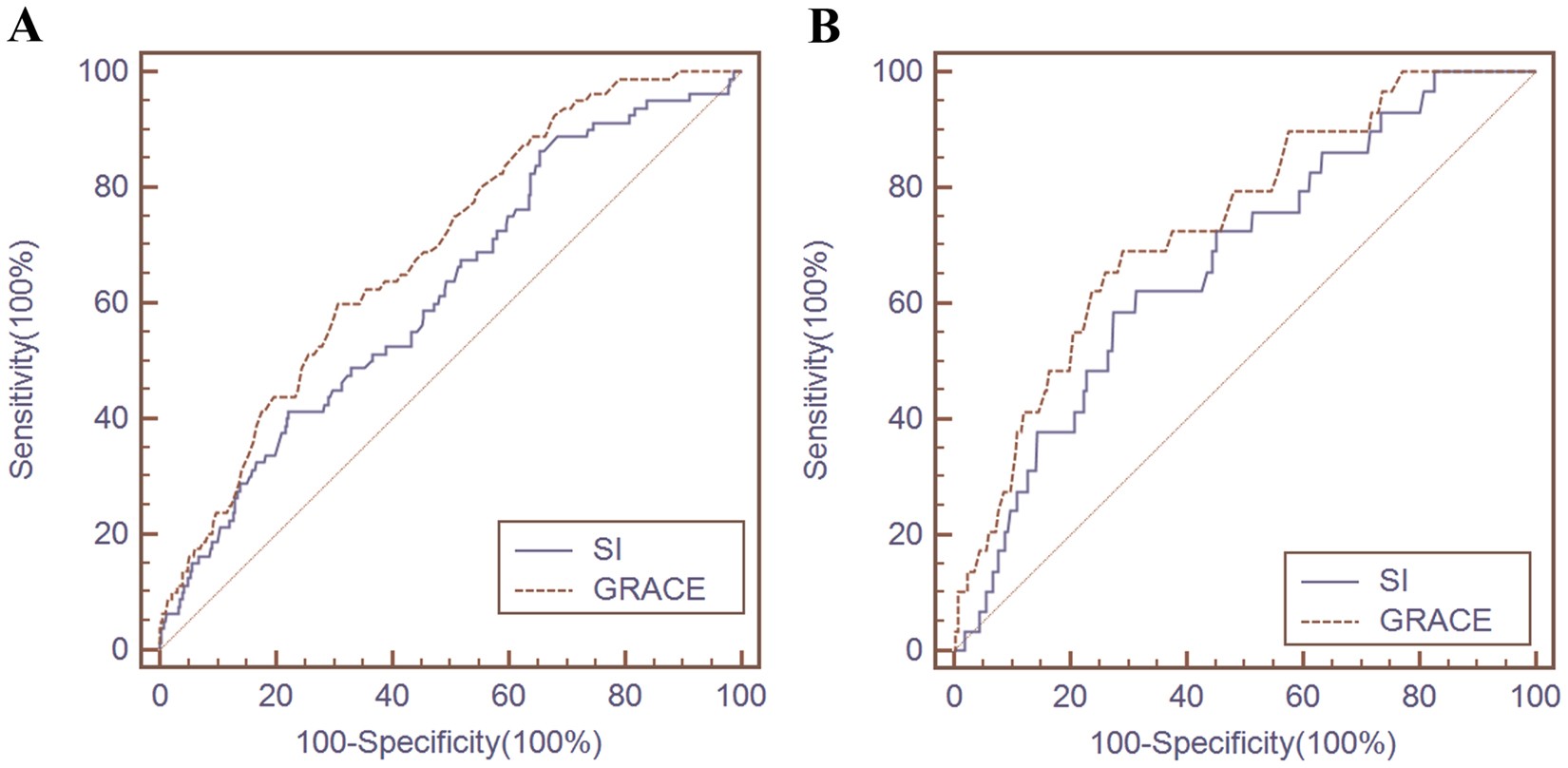
Figure 2

Receiver operating characteristic curves of shock index and GRACE score for all-cause mortality prediction in the derivation cohort (A) and the validation cohort (B).

Receiver operating characteristic curves of shock index and GRACE score for all-cause mortality prediction in the derivation cohort (A) and the validation cohort (B).