Figure 6
From: Process signatures in glatiramer acetate synthesis: structural and functional relationships

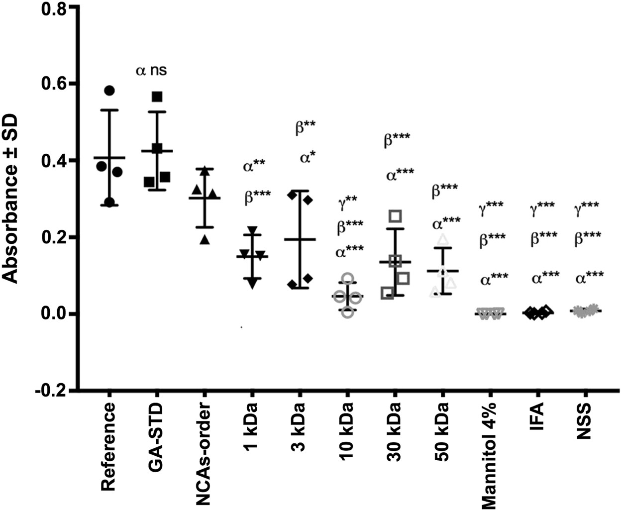
GA-specific antibodies detection of GA samples through ELISA. The statistical analysis included the comparison GA-specific antibodies production of each experimental group against the Reference Medicinal Product (α), the GA-STD (β) and NCA-order batch (γ) groups. *P < 0.05, **P < 0.001, ***P < 0.0001.