Figure 2
From: Asymmetric Electron-Hole Decoherence in Ion-Gated Epitaxial Graphene

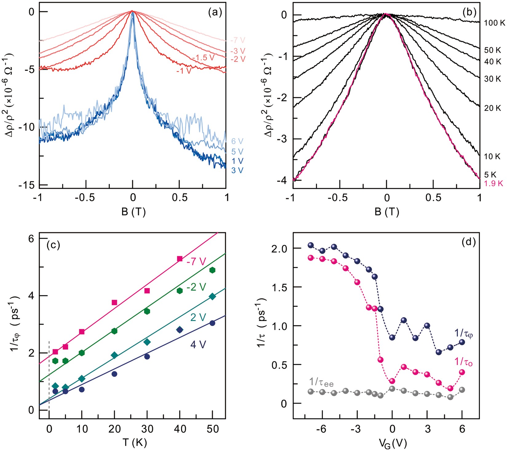
Gate-voltage dependence of the magnetoresistance and extracted decoherence rate versus the gate voltage at the base temperature. (a) Magnetoresistances for different gate voltages acquired at 1.9 K. \({\rm{\Delta }}{\rm{\rho }}\) represents the resistivity change with respect to the resistivity measured at zero B field and at 1.9 K. Red traces are the magnetoresistances for holes at negative gate voltages while blue traces are the magnetoresistances for electrons at positive gate voltages. (b) Magnetoresistance traces measured at different temperatures from 1.9 K to 100 K for a gate voltage of −2 V. (c) Temperature dependence of the extracted decoherence rate for different gate voltages. (d) Gate-voltage dependences of the decoherence rates. Blue and gray spheres correspond to \(\,1/{\tau }_{\varphi }\) and \(1/{\tau }_{ee}\) for each gate voltage determined at 1.9 K, respectively. Red spheres denote \(1/{{\rm{\tau }}}_{{\rm{o}}}\), zero-temperature offset with an extrapolation model described in the main text.