Figure 4
From: Response of human periodontal ligament stem cells to IFN-γ and TLR-agonists

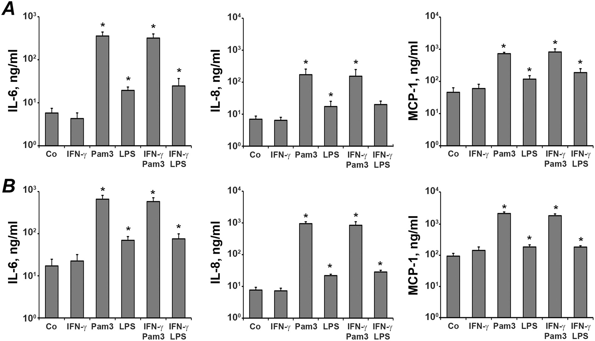
Effect of IFN-γ, Pam3CSK4, and E. coli LPS on production of IL-6, IL-8, and MCP-1 protein by hPDLSC. Cells were stimulated with IFN-γ (10 ng/ml), TLR2 agonist Pam3CSK4 (1 µg/ml), TLR4 agonist E. coli LPS (1 µg/ml), or combinations of IFN-γ and TLR agonists for either 6 h (A) or 48 h (B) and concentration of IL-6, IL-8, and MCP-1 protein in conditioned media were measured by ELISA. Data are presented as mean ± s.e.m. of 6 different donors. *significantly different compared to control.