Figure 1

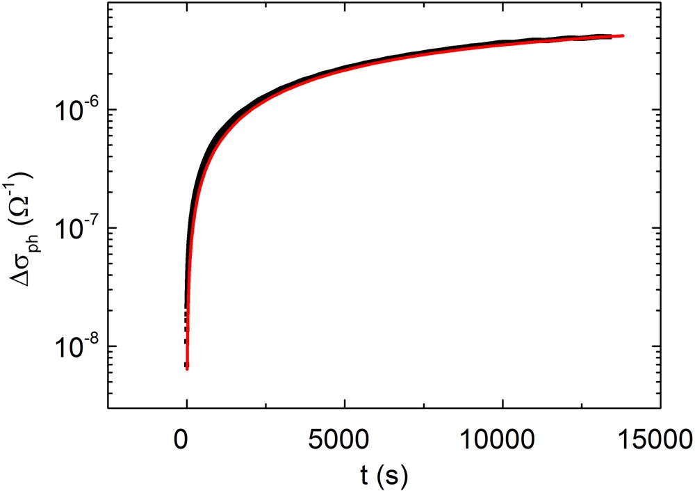
Transient photoconductivity of composite ZnO-In2O3 film containing 65 wt.% ZnO. The approximated parameters σ ph = 5.67∙10−6 Ω−1 and τ = 10200 s according to equation (1).

Transient photoconductivity of composite ZnO-In2O3 film containing 65 wt.% ZnO. The approximated parameters σ ph = 5.67∙10−6 Ω−1 and τ = 10200 s according to equation (1).