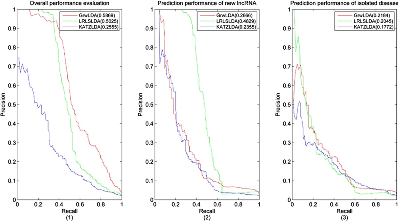
Figure 2
From: Global network random walk for predicting potential human lncRNA-disease associations

Performance comparisons of GrwLDA, LRLSLDA and KATZLDA in terms of PR curves and AUPRs based on LOOCV. (1) The overall predicted performance evaluation; (2) The predicted performance of novel lncRNA-associated diseases prediction; (3) The predicted performance of isolated disease-related lncRNAs prediction.