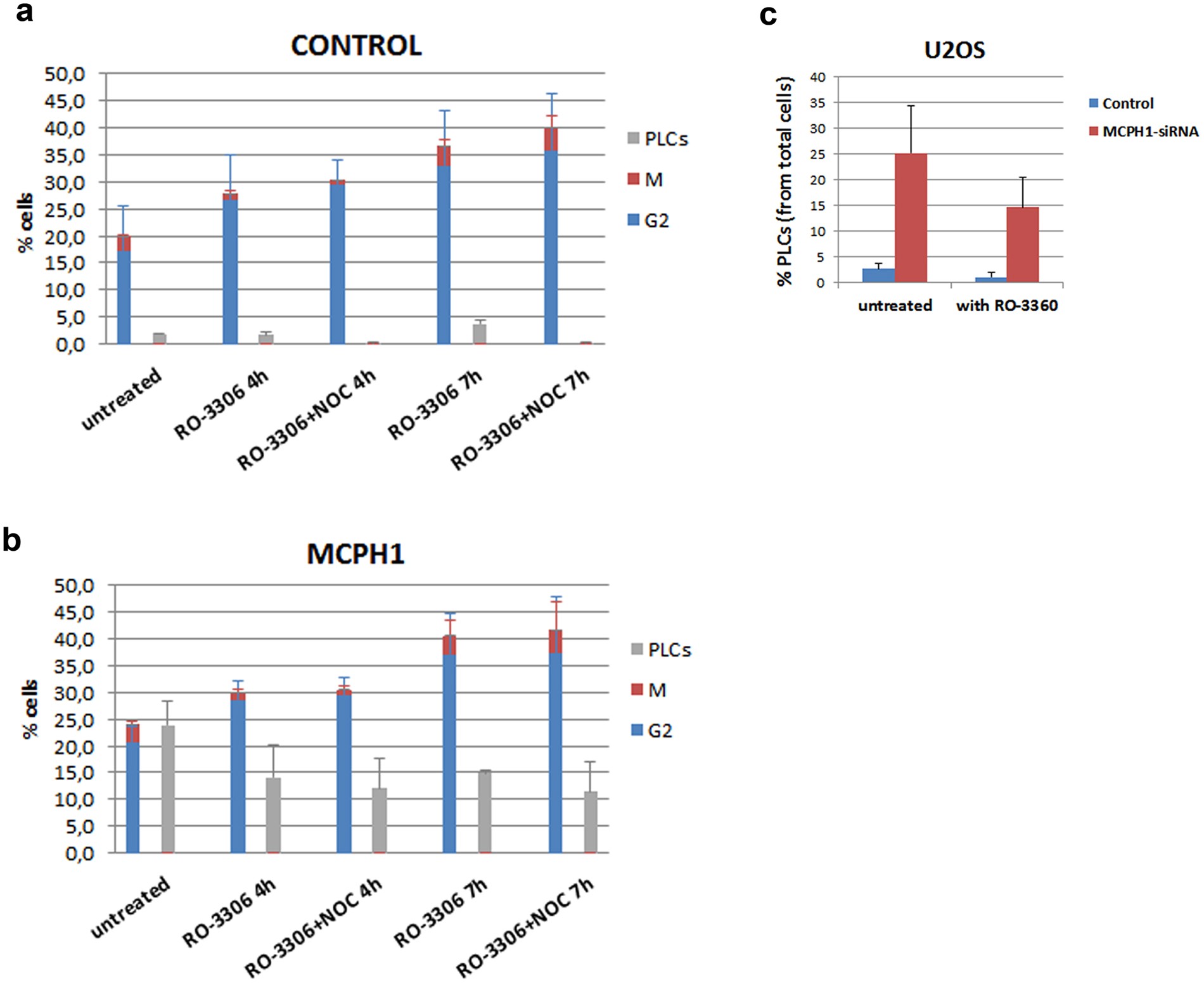
Figure 4

Analyses of cell cycle progression and dynamics of chromosome condensation in control and MCPH1 deficient cells treated with the Cdk1 inhibitor RO-3306. Fraction of M and G2 cells, determined by FACS analyses, in control (a) and MCPH1 patient cells (b) after either 4 h or 7 h of incubation with RO-3306 alone or combined with nocodazole (NOC), a spindle poison that causes M arrest. For each sample, we determined in parallel the fraction of PLCs by microscopic analyses of cytogenetic preparations. These data confirm that cells do not escape from G2 arrest. The fraction of PLCs is constantly reduced after prolonged incubation with RO-3306 in patient cells. In control cells, as expected, PLCs are nearly abseny. (c) Determination of the PLC frequency in U2OS cells depleted of MCPH1 by siRNAs and incubated with the Cdk1 inhibitor RO-3360 for 6 h. Mean and SD data are shown in all cases. Reduction of PLCs rate after RO-3306 treatment in b and c was statistically significant (p < 0.01, Χ2 test).