Figure 2
From: Insensitive ionic bio-energetic materials derived from amino acids

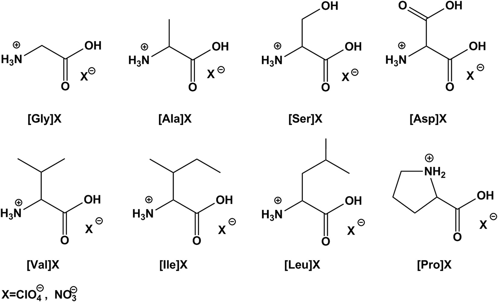
Structures of energetic salts/ionic liquids [AA]ClO4 and [AA]NO3 derived from amino acids.
From: Insensitive ionic bio-energetic materials derived from amino acids

Structures of energetic salts/ionic liquids [AA]ClO4 and [AA]NO3 derived from amino acids.