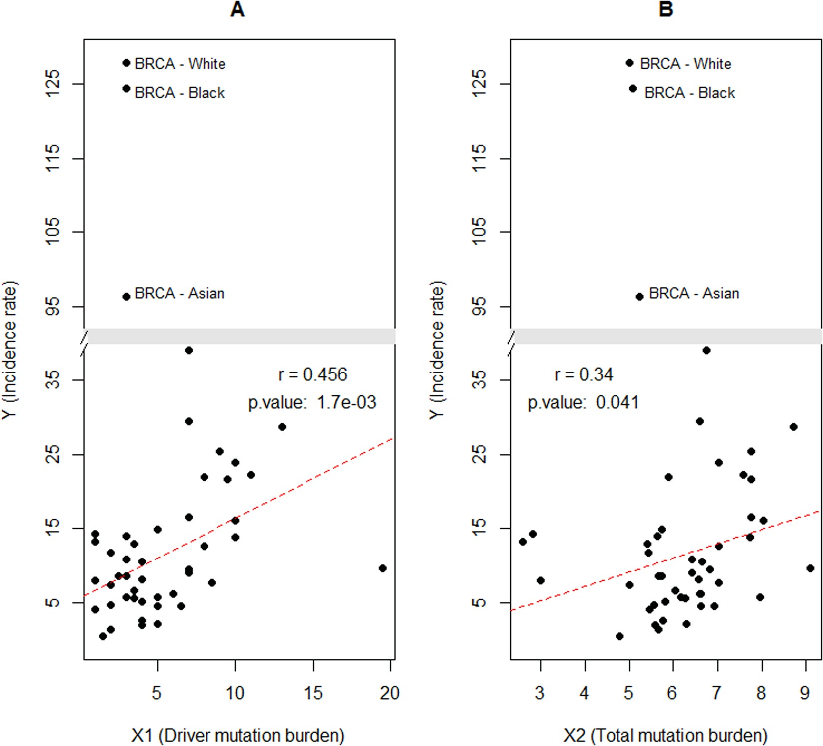
Figure 3

The association between mutation burden and cancer incidence rate for all the addressed cancer types except for BRCA. Y (Incidence rate) in the both plots indicates the number of new cancer cases per 100000 individuals per year. Each data point represents the combination of a racial group and a TCGA cancer. (A) 1 indicates the median of mutation numbers in the pan-cancer driver genes. (B) X2 indicates the log2 transformed median of mutation numbers in all HUGO genes. The p-value of Pearson correlation (r) between X1(X2) and Y is estimated by the t-test. The regression of Y on X1 (or X2) is denoted by the dotted red line. The information of BRCA is not used in the analysis. The graphics is generated by the gap.plot() function in the R package “plotrix”.