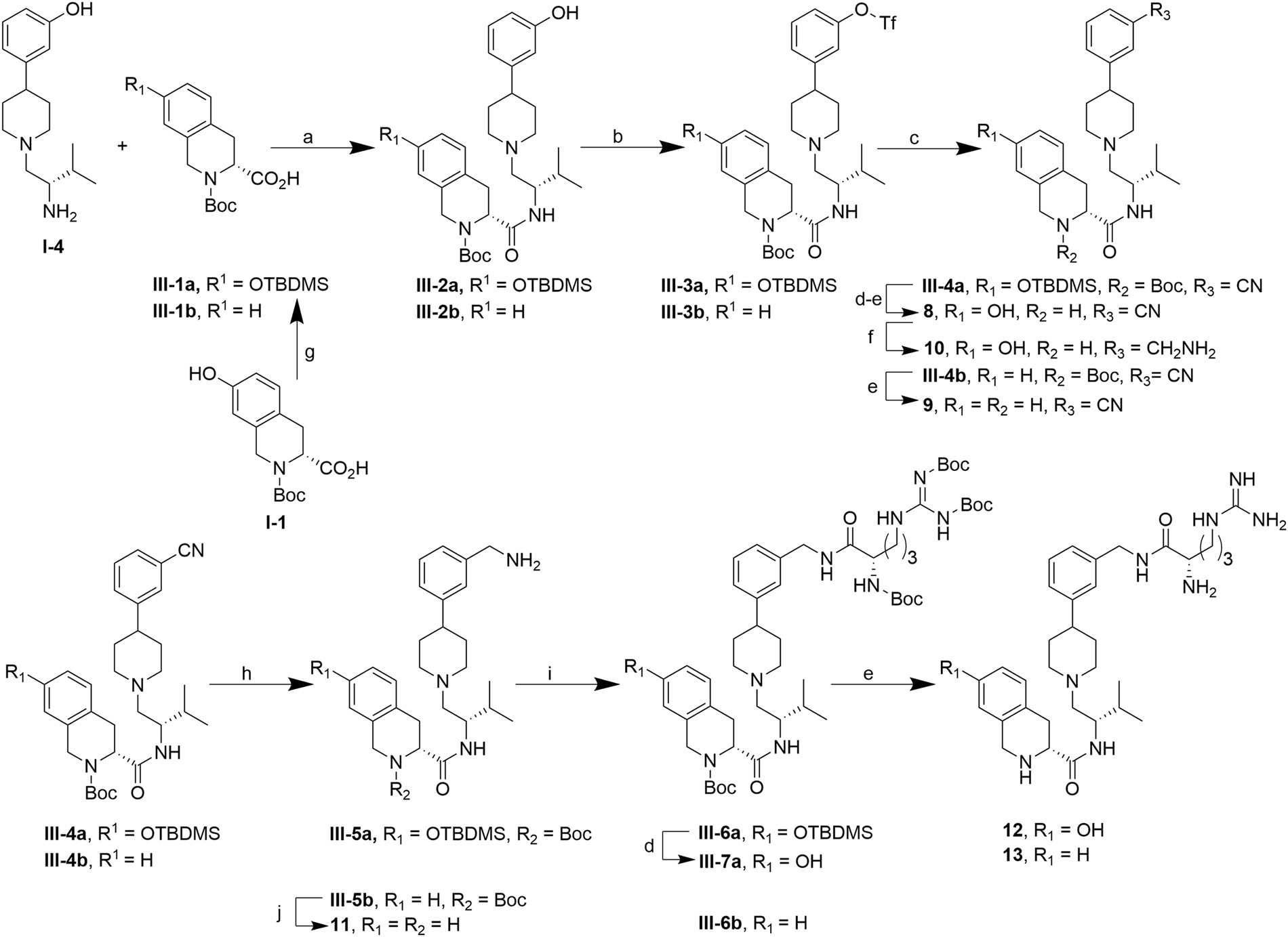
Figure 6

Synthesis of 8–13. Reagents and conditions: (a) BOP, Et3N, THF, 5 h, rt, 87%; (b) N-phenyl-bis(trifluoromethanesulfonimide), K2CO3, THF, 18–26 h, rt, 50–63%; (c) ZnCN2, Pd(PPh3)4, DMF, 1 h, 80 °C, 67–91%; (d) TBAF/THF, THF, 1–2 h, rt, 53%-quantitative; (e) TFA, CH2Cl2, 1–5.5 h, rt, 58–93%; (f) Raney Ni, 4.8 atm H2(g), NH3/MeOH, 19 h, rt, 88%; (g) TBDMS-Cl, imidazole, DMF, 3 h, rt, 82%; (h) Raney Ni, 4–4.8 atm H2(g), NH3/MeOH, 5.5 h, rt, 64–70%; (i) Boc-Arg(Boc)2-OH, EDCI, HOBt, Et3N, CH2Cl2 or DMF, 24 h, rt, 46–58%; (j) HCl/ether, MeOH, 19 h, rt, 89%.