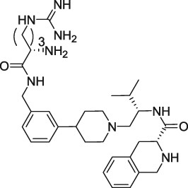
Table 1 Binding affinity of 1 (AT-076) analogs at the four opioid receptors, determined in competition radioligand displacement assays in cloned human opioid receptor-transfected cellsa.

From: Probing ligand recognition of the opioid pan antagonist AT-076 at nociceptin, kappa, mu, and delta opioid receptors through structure-activity relationships

Receptor Binding, K i (nM)

Cmpd

Structure

NOP

KOP

MOP

DOP

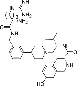
1 (AT-076)

1.75 ± 0.74

1.14 ± 0.63

1.67 ± 0.6

19.6 ± 1.3

2

1890 ± 270

6.73 ± 1.42

81.7 ± 12.4

73.7 ± 57.9

3

5540 ± 1150

118 ± 29

1490 ± 220

1566 ± 1133

4

3260 ± 780

129 ± 60

180 ± 70

>10 K

5

7910 ± 1470

295 ± 65

4400 ± 2350

>10 K

6

>10 K

1518.4 ± 418.8

>10 K

>10 K

7

>10 K

125.34 ± 2.4

1442.1 ± 57.6

>10 K

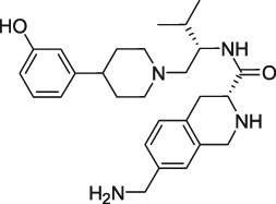
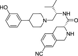
8

61.32 ± 14.6

3.86 ± 0.09

2.93 ± 0.67

135.92 ± 59.7

9

>10 K

542.9 ± 62.2

972.91 ± 20.95

>10 K

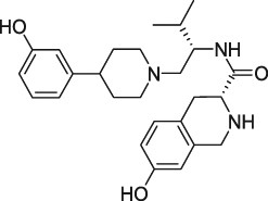
10

30.72 ± 14.5

1.08 ± 0.01

0.68 ± 0.28

133.45 ± 24.9

11

202.14 ± 55.6

408.3 ± 30.8

284.0 ± 75.3

>10 K

12

6.04 ± 1.32

2.11 ± 0.52

5.67 ± 2.38

53.61 ± 7.12

13

43.32 ± 19.1

56.14 ± 5.38

408.33 ± 37.3

>10 K

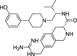
14

84.4 ± 13.6

0.253 ± 0.015

2.79 ± 0.28

12.4 ± 8.0

15

91.19 ± 25.4

2.6 ± 1.13

19.08 ± 6.35

249.43 ± 31.0

16

566 ± 129

0.371 ± 0.096

7.68 ± 0.52

137.6 ± 45

N/OFQ

 

0.12 ± 0.01

   

U69,593

  

1.05 ± 0.02

  

DAMGO

   

2.96 ± 0.5

 

DPDPE

    

1.11 ± 0.07

SB-612111

 

1.06 ± 0.52

541.26 ± 36.3

623.11 ± 156.3

2894.1 ± 532

JDTic

 

16.7 ± 0.76

0.43 ± 0.03

1.53 ± 0.19

10.6 ± 0.17

  1. a K i values were determined by competitive displacement of the respective radioligands–[3H]N/OFQ–NOP, [3H]U69,593–KOP, [3H]DAMGO–MOP and [3H]DPDPE–DOP receptor. The K i was calculated from the IC50 values determined from the binding curves, using the Cheng−Prusoff equation. Values are the Mean ± SEM of at least three independent experiments run in triplicate.