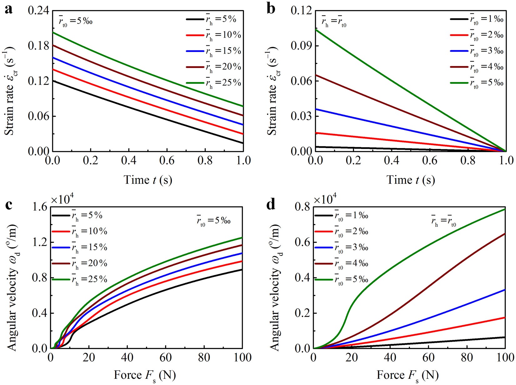
Figure 3

Parametric study of the unwinding dynamics. Critical strain rate \({\dot{\varepsilon }}_{{\rm{cr}}}\) of the string is plotted with time for different \({\bar{r}}_{{\rm{h}}}\) in (a) and \({\bar{r}}_{{\rm{t0}}}\) in (b). Angular velocity ω d of the disk is plotted as a function of the tensile force F s of the string for different \({\bar{r}}_{{\rm{h}}}\) in (c) and \({\bar{r}}_{{\rm{t0}}}\) in (d).