Figure 2

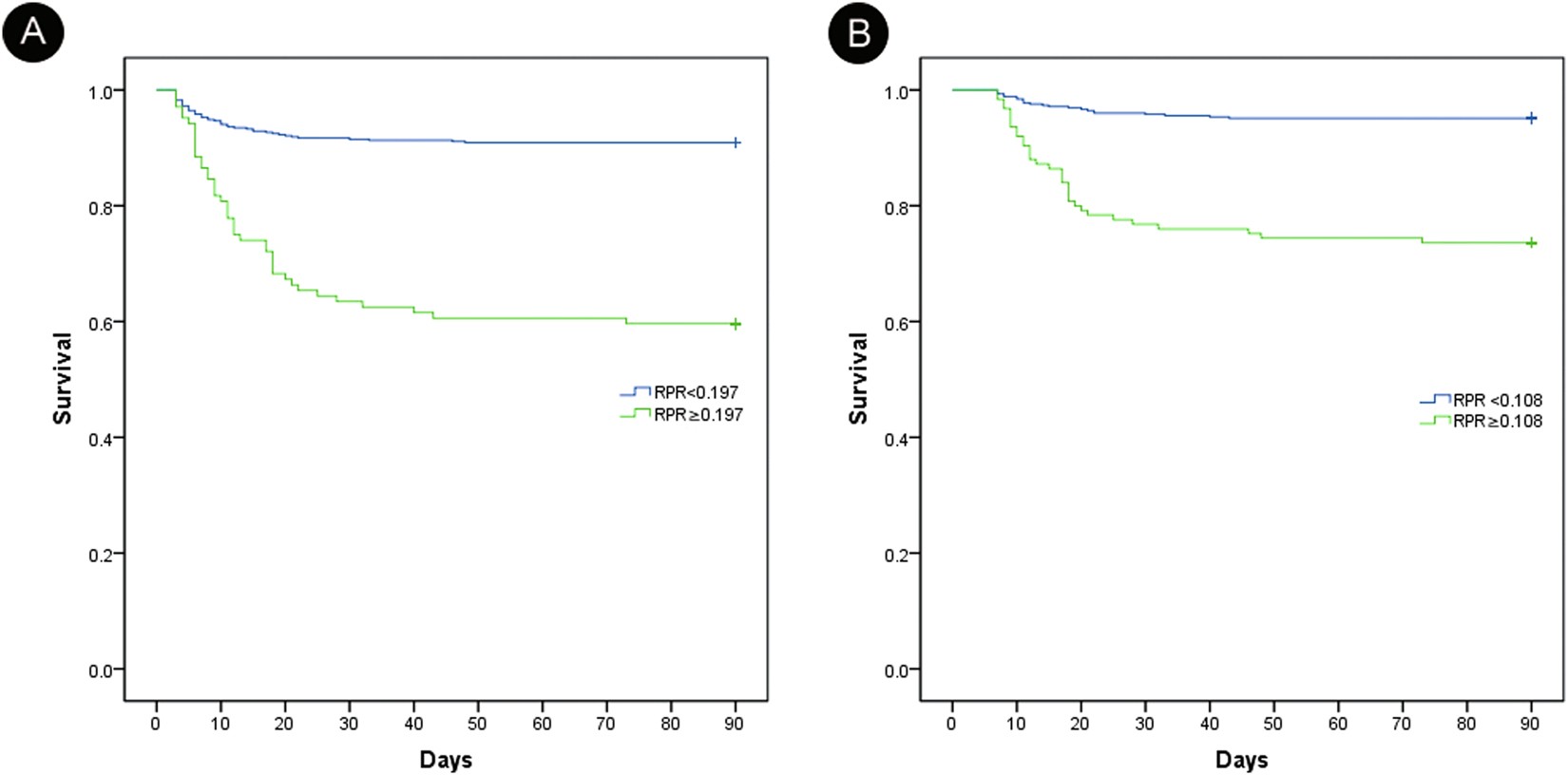
(A) KaplanāMeier survival curves for RPR higher or lower than 0.197 at day 3. (B) KaplanāMeier survival curves for RPR higher or lower than 0.108 on day 7.

(A) KaplanāMeier survival curves for RPR higher or lower than 0.197 at day 3. (B) KaplanāMeier survival curves for RPR higher or lower than 0.108 on day 7.