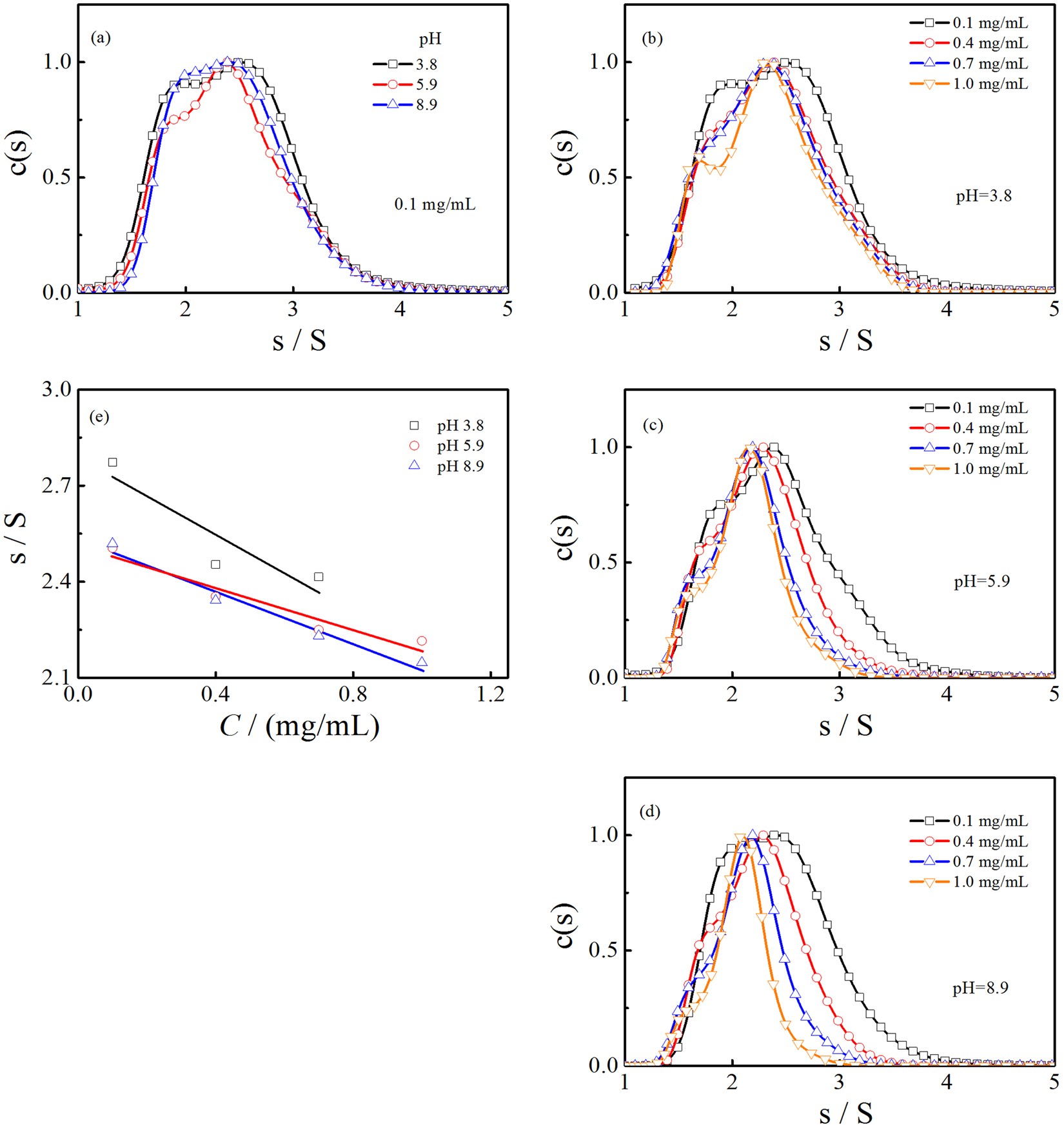
Figure 2

Sedimentation coefficient distributions of a 0.1 g/L γ-PGA at pH 3.8, 5.9, and 8.9 (a). Sedimentation coefficient distributions of γ-PGA from 0.1 to 1.0 g/L at pH 3.8 (b), pH 5.9 (c), and pH 8.9 (d). Concentration dependence of the γ-PGA sedimentation coefficient at different pH values (e). The c(s) distributions are normalized to the peak height and s represents Svedberg (S) units or 10−13 sec.