Figure 5

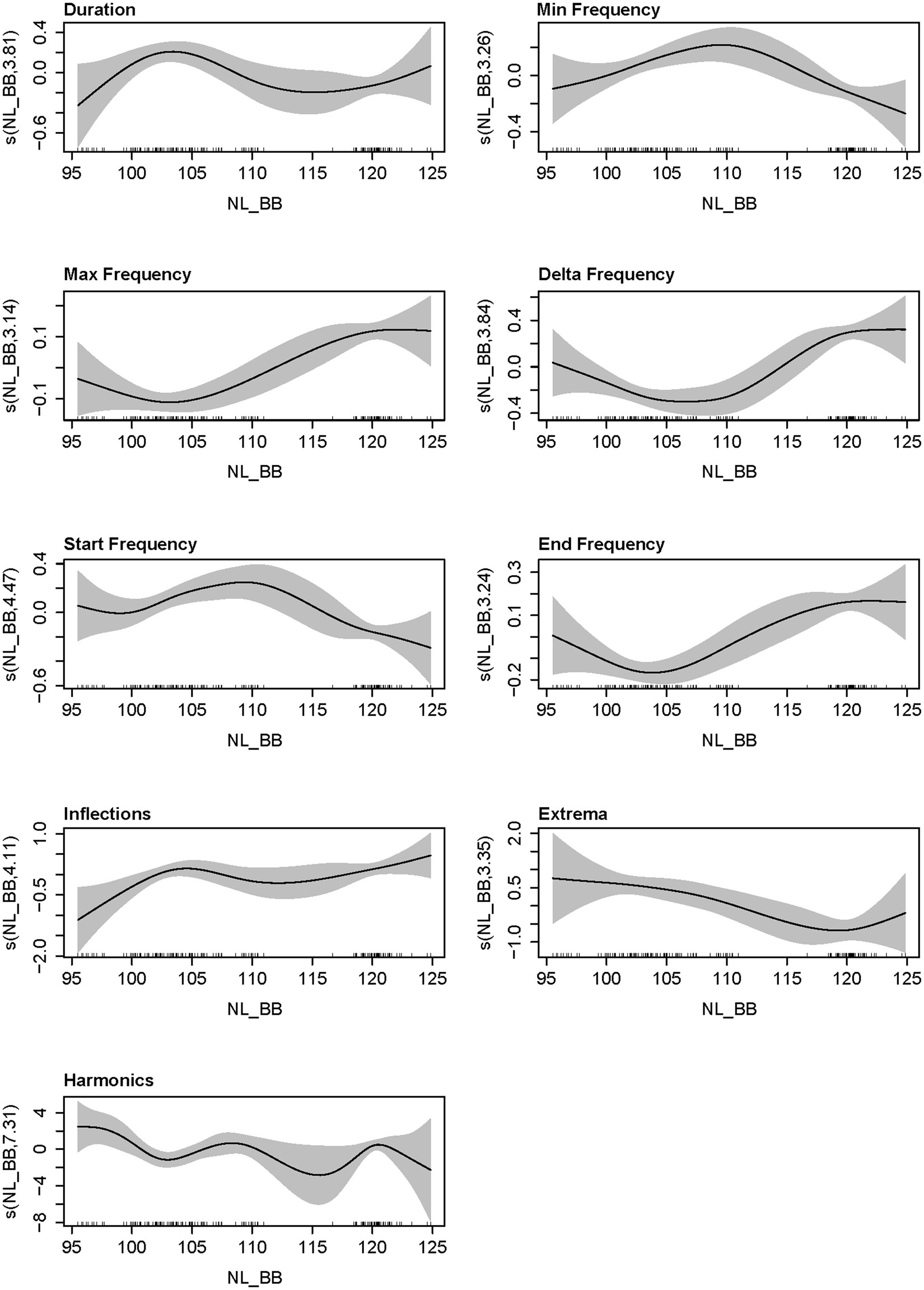
Results of the nine whistle characteristic GAMs which selected broadband noise level (NL_BB) as a significant explanatory variable.

Results of the nine whistle characteristic GAMs which selected broadband noise level (NL_BB) as a significant explanatory variable.