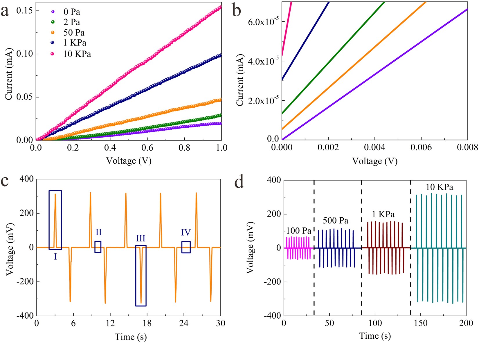
Figure 3

(a) I-V curves of PPNWF pressure sensor and (b) initial current under different pressures; (c) open-circuit voltage signal of PPNWF pressure sensor under an applied periodic pressure of 10 kPa; (d) voltage signal of PPNWF pressure sensor under different pressures.