Figure 4
From: Interleukin 17A as a good predictor of the severity of Mycoplasma pneumoniae pneumonia in children

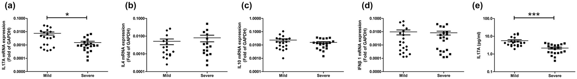
mRNA levels of different cytokines and protein levels of IL17A in BALF of MPP children from Changchun Children’s Hospital. (a) mRNA levels of IL17A in BALF of mild MPP and severe MPP children. (b) mRNA levels of IL4 in BALF of mild MPP and severe MPP children. (c) mRNA levels of IL10 in BALF of mild MPP and severe MPP children. (d) mRNA levels of IFNβ1 in BALF of mild MPP and severe MPP children. (e) Protein levels of IL17A in mild MPP and severe MPP children. The results of Benjamini-Hochberg p adjust are shown as: *padj < 0.05, **padj < 0.01, ***padj < 0.001.