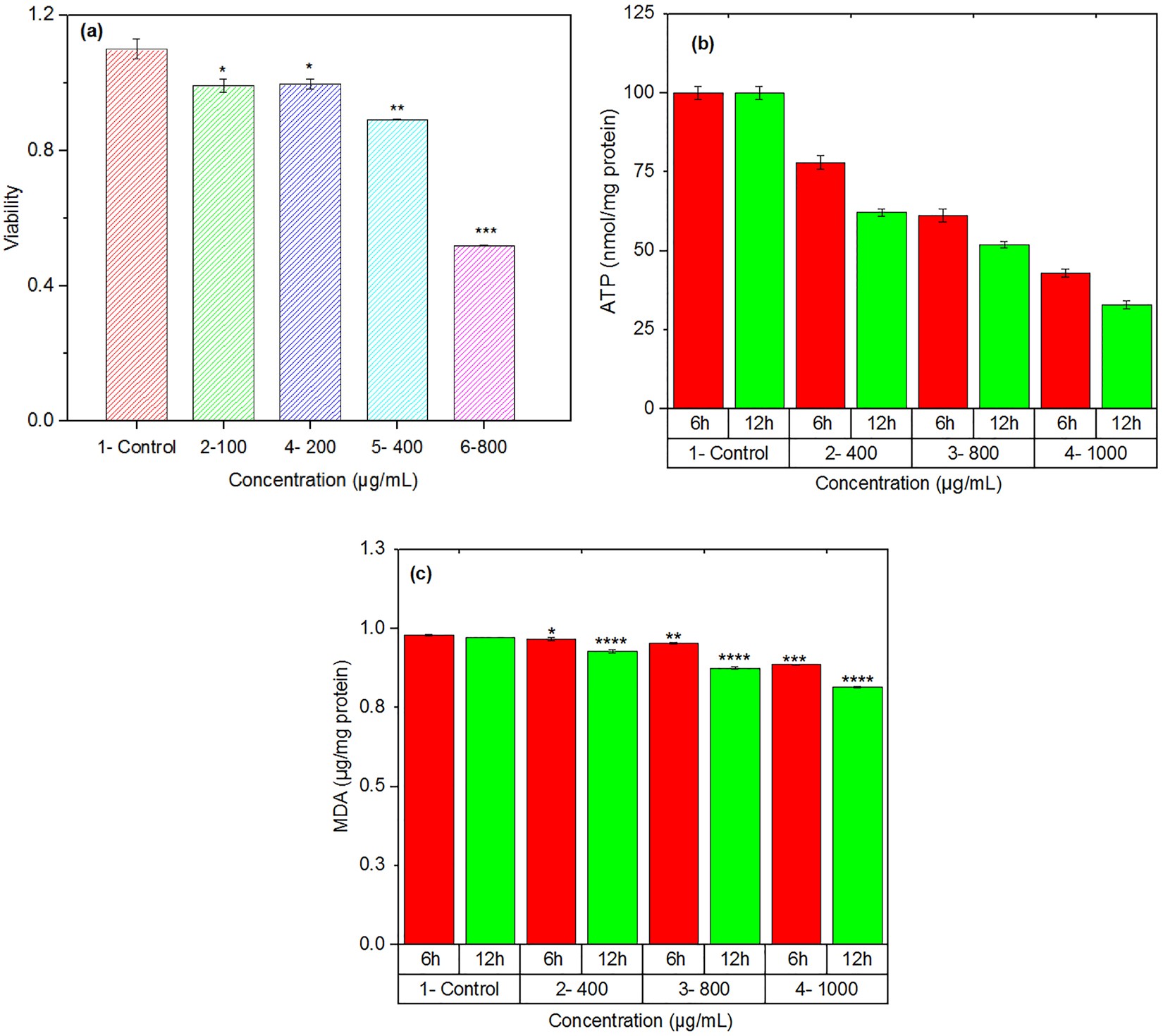
Figure 2

(a) The effect of hybrid nanoparticles on the cell viability (SDH activity). (b) Changes in the ATP production shows the effect of nanoparticles on the mitochondrial respiration. (c) The nanoparticles induced lipid peroxidation in isolated mononuclear cells. Data represented as mean ± SD of data determined from three separate experiments. Values represented as mean ± SD (n = 3). *P < 0.05; **P < 0.01; ***P < 0.001 and ****P < 0.0001; compared with control cell.