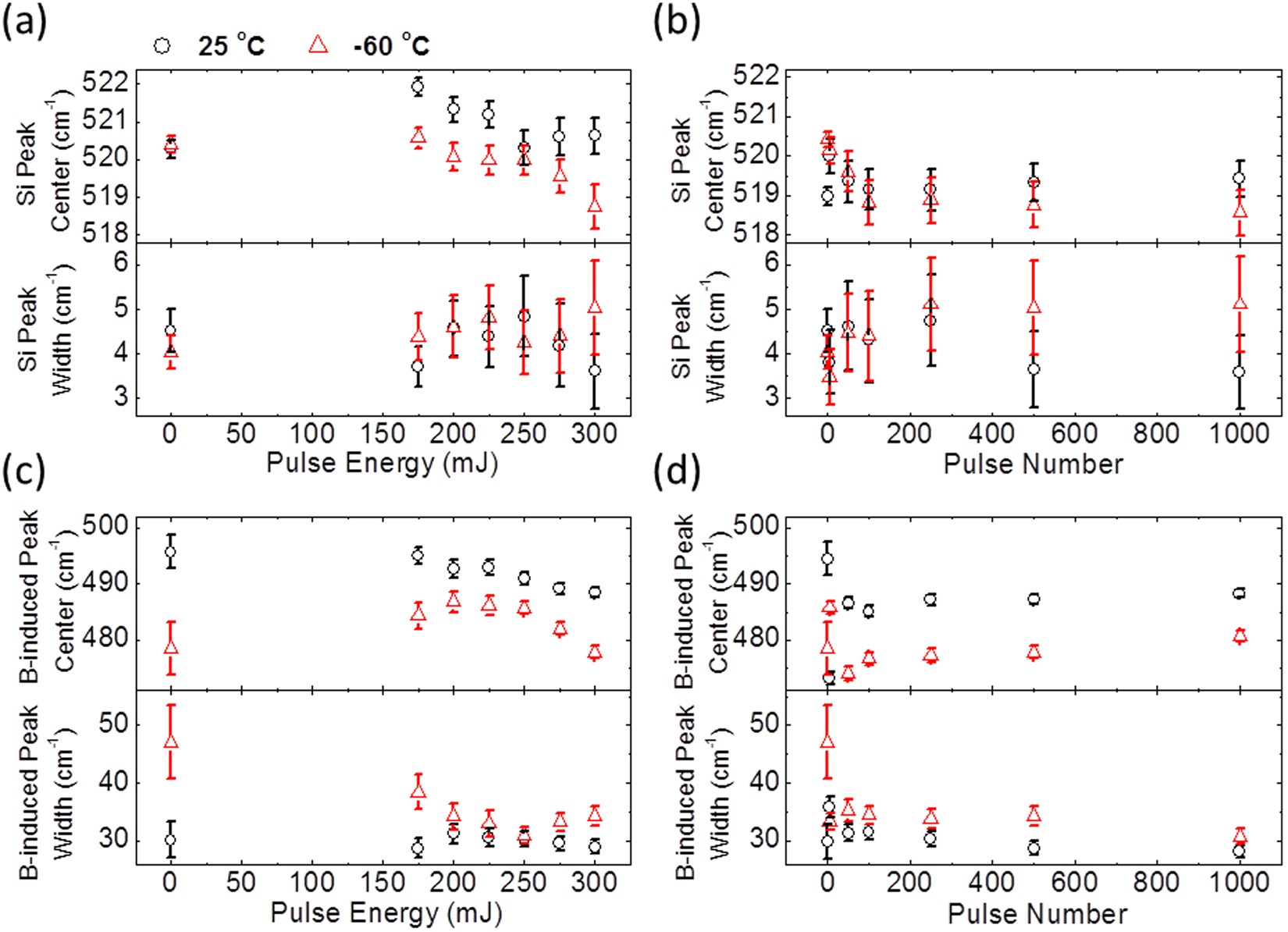
Figure 4

Peak center and peak width as determined by curve fitting. Si peak center and peak width for (a) a series of P processes, and (b) a series of E processes. B-induced peak center and peak width for (c) a series of P processes and (d) a series of E processes. Black circles and red triangle symbols are for R and C samples, respectively.