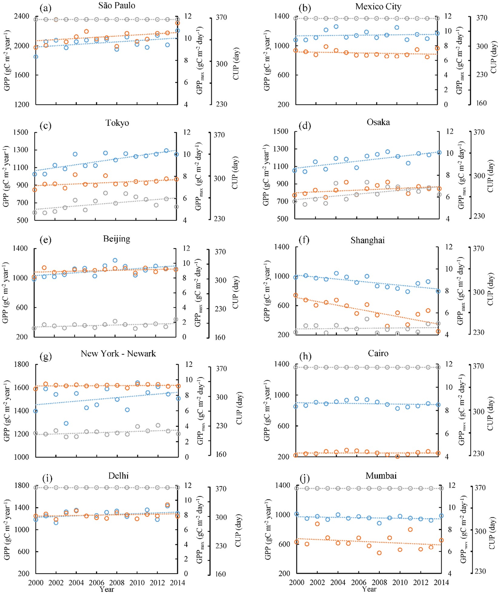
Figure 4

Interannual variations of annual GPP (blue), daily maximum GPP (GPPmax, orange), and carbon uptake period (CUP, grey) in the world’s top ten megacities from 2000 to 2014. GPPmax is the maximum daily GPP in a year; CUP is defined as the number of days with GPP >= 1.0 gC m−2 day−1 in a year41,42; and GPPmax is estimated by the Savitzky-Golay fitting method59.