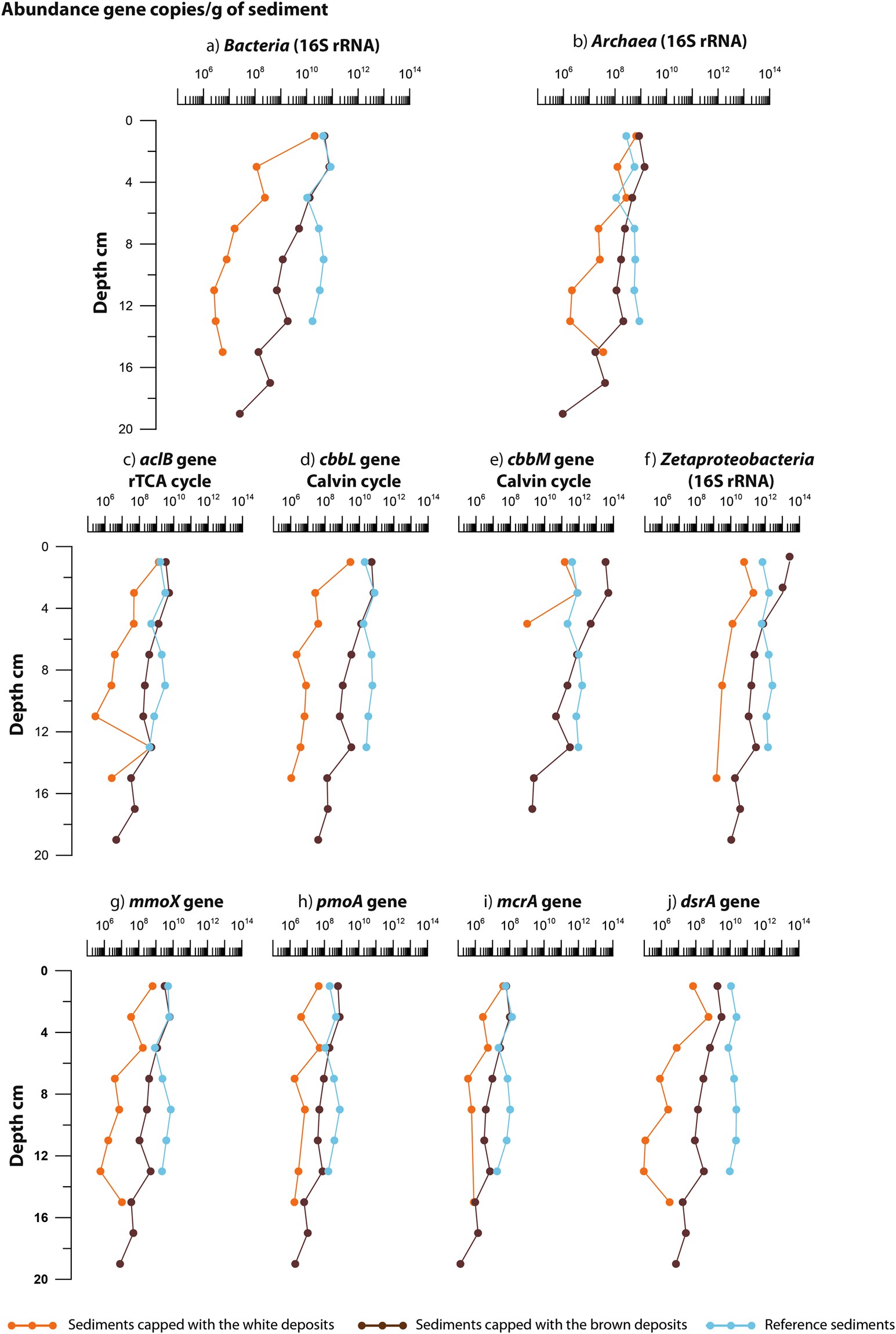
Figure 3
From: Modes of carbon fixation in an arsenic and CO2-rich shallow hydrothermal ecosystem

Average gene abundance for each section between the duplicate push cores collected in the same habitat, showing downcore gene distribution. The X-axis refers to the abundance of gene copies per gram of sediment for (a) Bacterial 16S rRNA gene; (b) Archaeal 16S rRNA gene; (c) Zetaproteobacteria 16S rRNA gene; (d) aclB gene; (e) the cbbL gene; (f) the cbbM gene; (g) the mmoX gene; (h) the pmoA gene; (i) the mcrA gene and (j) dsrA gene. The orange dots refer to qPCR data obtained in the white-capped sediment; brown dots to qPCR data obtained in the brown-capped sediment and blue dots to qPCR data from the reference sediment.