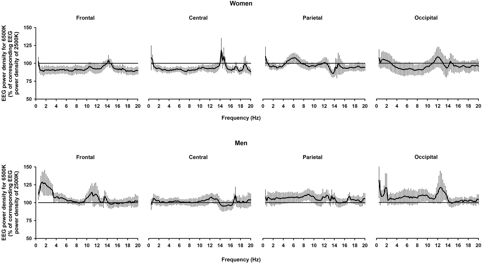
Figure 3

All-night EEG power density spectra during NREM sleep in frontal, central, parietal, and occipital derivations for women (n = 15, upper panels) and men (n = 16, bottom panels). NREM sleep EEG power density values per 0.25 Hz bins following light at 6500 K (black lines) are expressed as percentage of the corresponding average values following light at 2500 K (horizontal black line: 100% of EEG power density following light exposure at 2500 K). Data are presented as mean ± standard error of the mean of values for each 0.25 Hz frequency bin from 0.75 to 20 Hz. *Interaction of ‘light condition’ and ‘sex’; p < 0.05.