Figure 6

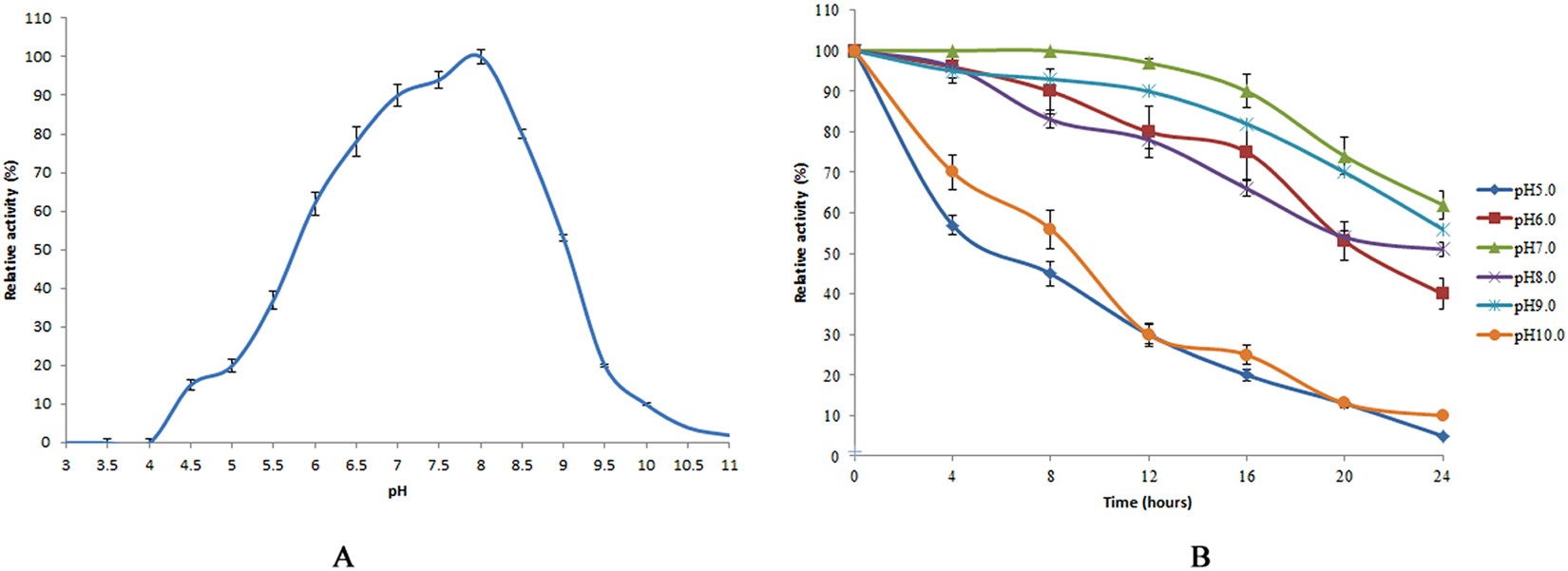
Effect of pH on the activity and stability of Cen502. (A) Effect of pH on Cen502 activity; (B) Effect of pH on Cen502 stability.

Effect of pH on the activity and stability of Cen502. (A) Effect of pH on Cen502 activity; (B) Effect of pH on Cen502 stability.