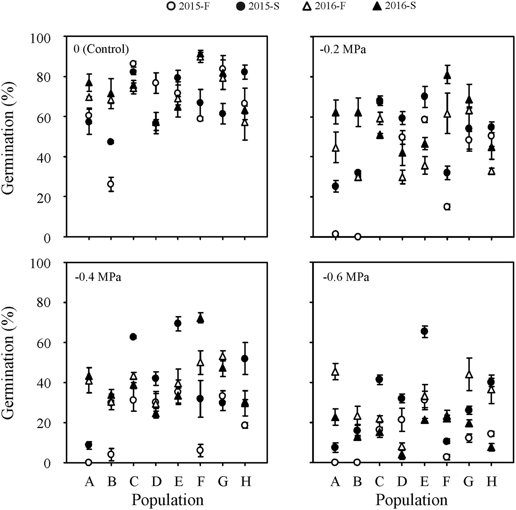
Figure 2

Effect of water potential on germination percentages (mean ± se, n = 4) of fresh and 6-month-old dry stored Stipa bungeana seeds from eight populations in 2015 and 2016 at 20 °C in continuous dark condition. 2015-F, fresh seeds collected in 2015; 2015-S, 6-month-dry stored seeds collected in 2015; 2016-F, fresh seeds collected in 2016; 2016-S, 6-month-dry stored seeds collected in 2016.