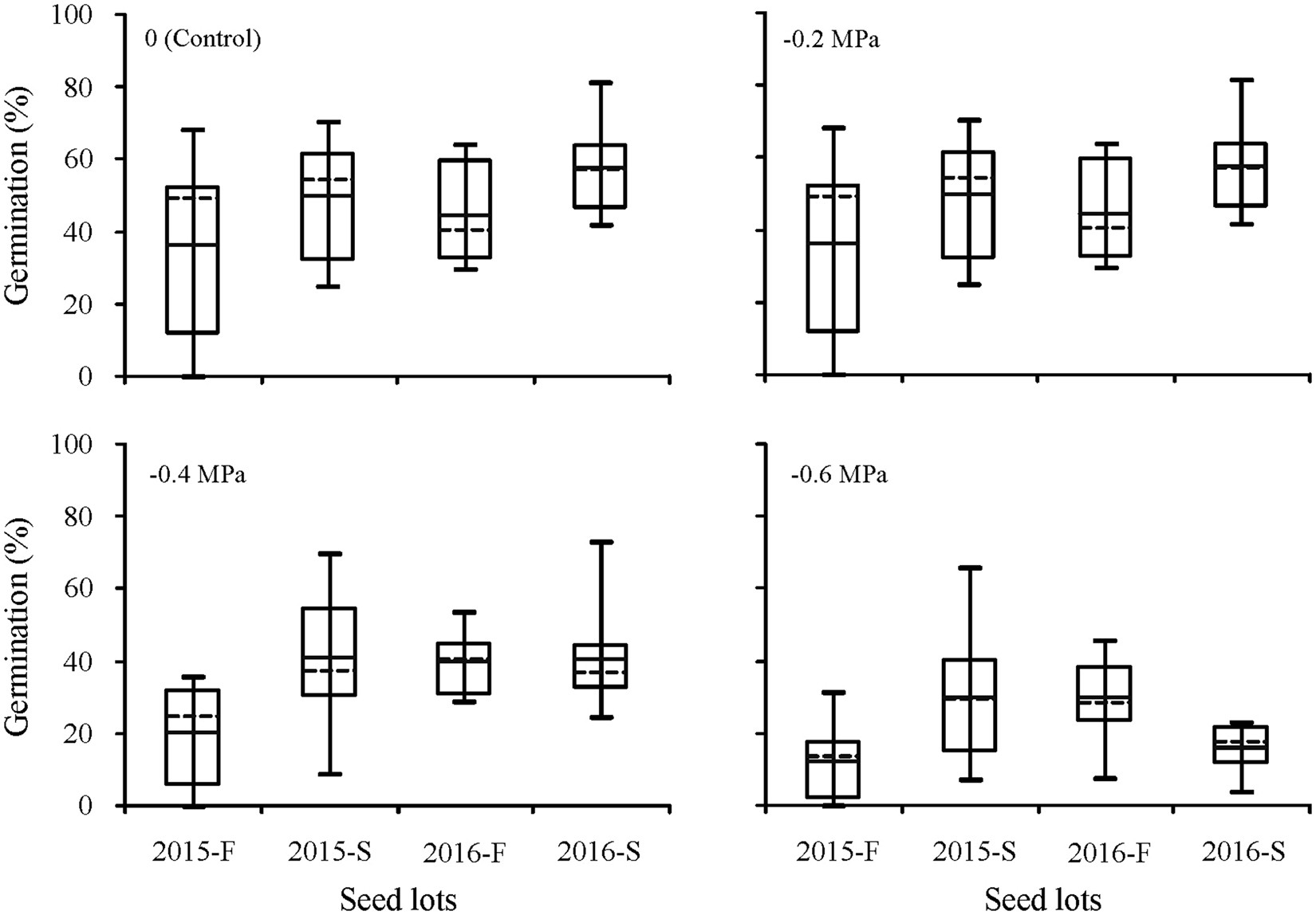
Figure 4

Germination percentage (mean ± se, n=4) of fresh and 6-month-old dry stored Stipa bungeana seeds from eight populations in 2015 and 2016 under four water potentials. The mean is indicated by a horizontal dotted line and the 25th, 50th and 75th percentiles by solid horizontal lines. Solid horizontal lines outside the box plots display the minimum value and maximum value. 2015-F, fresh seeds collected in 2015; 2015-S, 6-month-dry stored seeds collected in 2015; 2016-F, fresh seeds collected in 2016; 2016-S, 6-month-dry stored seeds collected in 2016.