Figure 10
From: Silicon Photonics Transmitter with SOA and Semiconductor Mode-Locked Laser

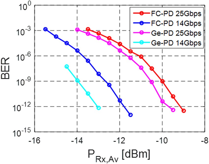
BER vs. average Rx input power at 14 and 25 Gbps for the FC-PD and Ge WPD. The reference modulator was operated with an extinction ratio above 50 dB.
From: Silicon Photonics Transmitter with SOA and Semiconductor Mode-Locked Laser

BER vs. average Rx input power at 14 and 25 Gbps for the FC-PD and Ge WPD. The reference modulator was operated with an extinction ratio above 50 dB.