Figure 4
From: Physiological and transcriptome response to cadmium in cosmos (Cosmos bipinnatus Cav.) seedlings

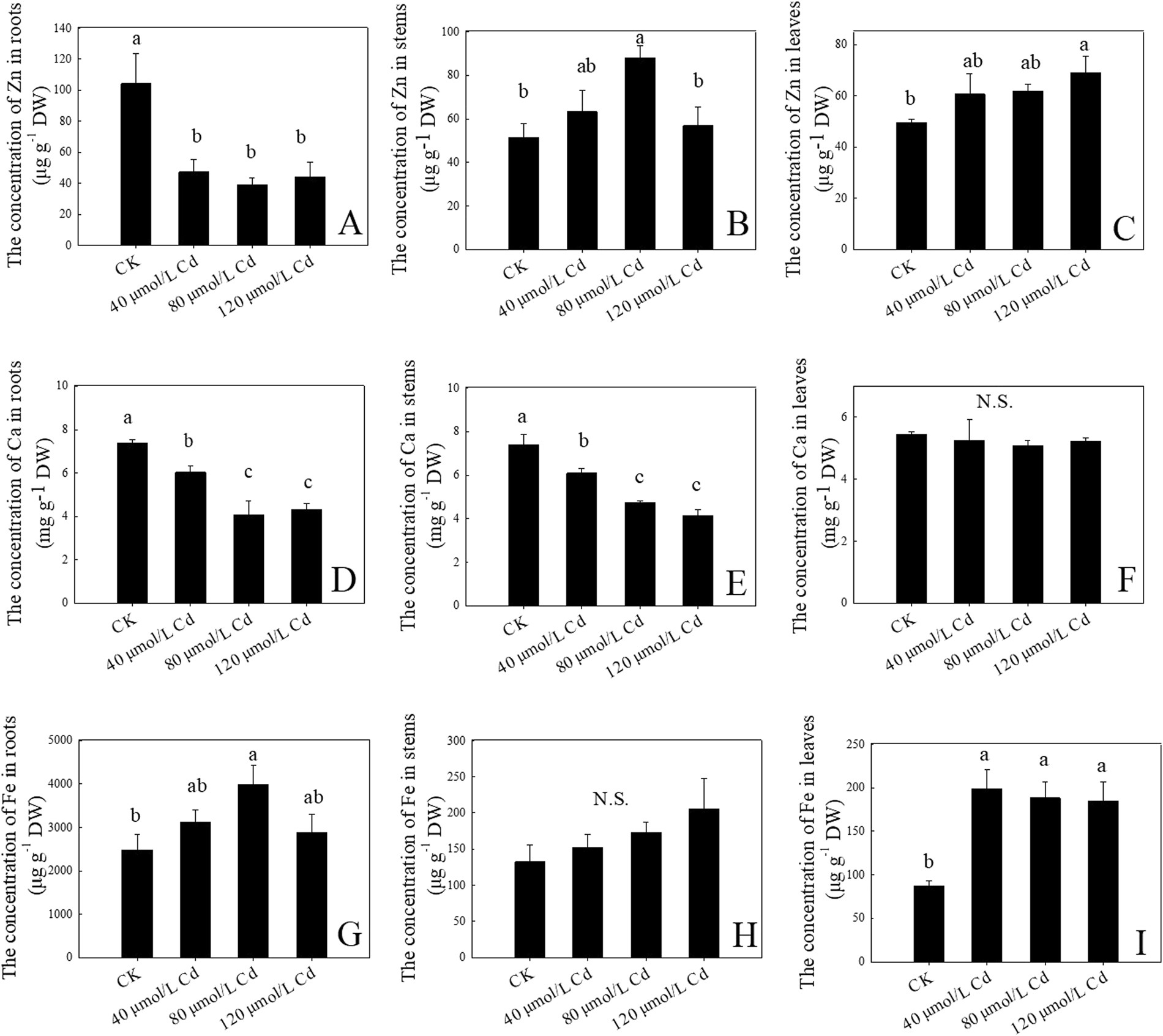
The concentration of metals under different Cd treatments of C. bipinnatus seedlings. A, B, and C: the concentration of Zn; D, E, and F: the concentration of Ca; G, H, and I: the concentration of Fe. N.S., no difference in various treatments. Values were means ± standard deviation (n = 3); values followed by different lowercase letters show significant differences at P < 0.05.