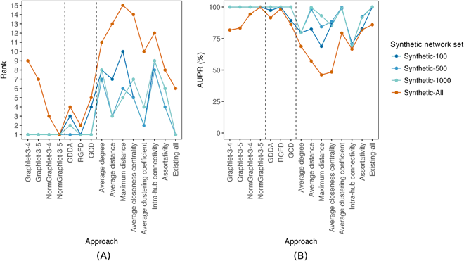
Figure 4

The performance comparison of the 15 considered approaches on each of the four considered synthetic network sets, with respect to AUPR, in terms of: (A) the approaches’ ranks compared to one another, and (B) the approaches’ raw AUPR values. In panel (A), for a given synthetic network set, the 15 approaches are ranked from the best (rank 1) to the worst (rank 15). So, the lower the rank, the better the approach. In panel (B), for each approach, its raw AUPR value is shown for each of the four synthetic network sets. So, the higher the AUPR value, the better the approach. For equivalent results with respect to AUROC values, see Supplementary Fig. S2.