Figure 3
From: Bacteria-inspired nanorobots with flagellar polymorphic transformations and bundling

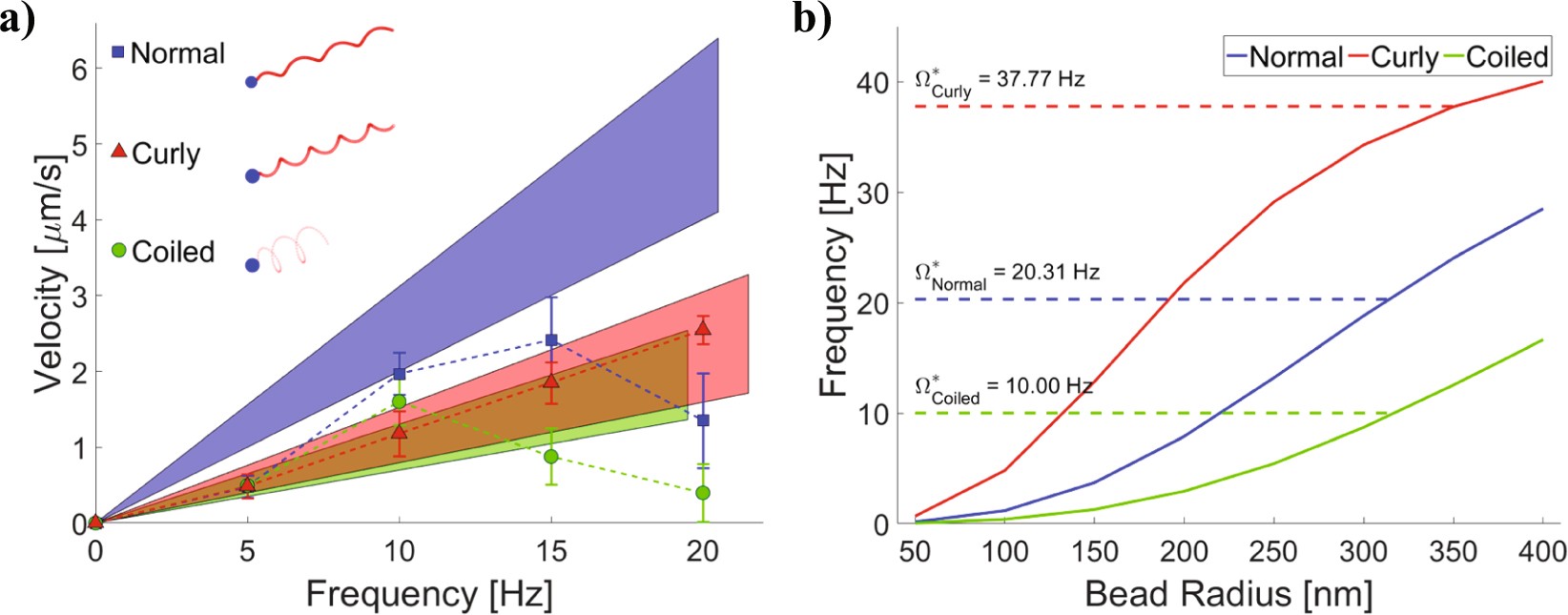
Numerical analysis. (a) Colored wedges show the range of velocity-frequency response for swimmers with each polymorphic form across the range of bead sizes, calculated using the method of regularized Stokeslets. Dashed lines and symbols are experimental data from Fig. 3. (b) For each polymorphic form, the step-out frequency calculated as a function of bead size assuming constant magnetization per volume. The dashed lines show the average step-out frequency for each curve. The magnetization per volume is chosen to set Ω*Coiled to be 10 Hz, and our calculation predicts the ordering of step-out frequencies observed experimentally.