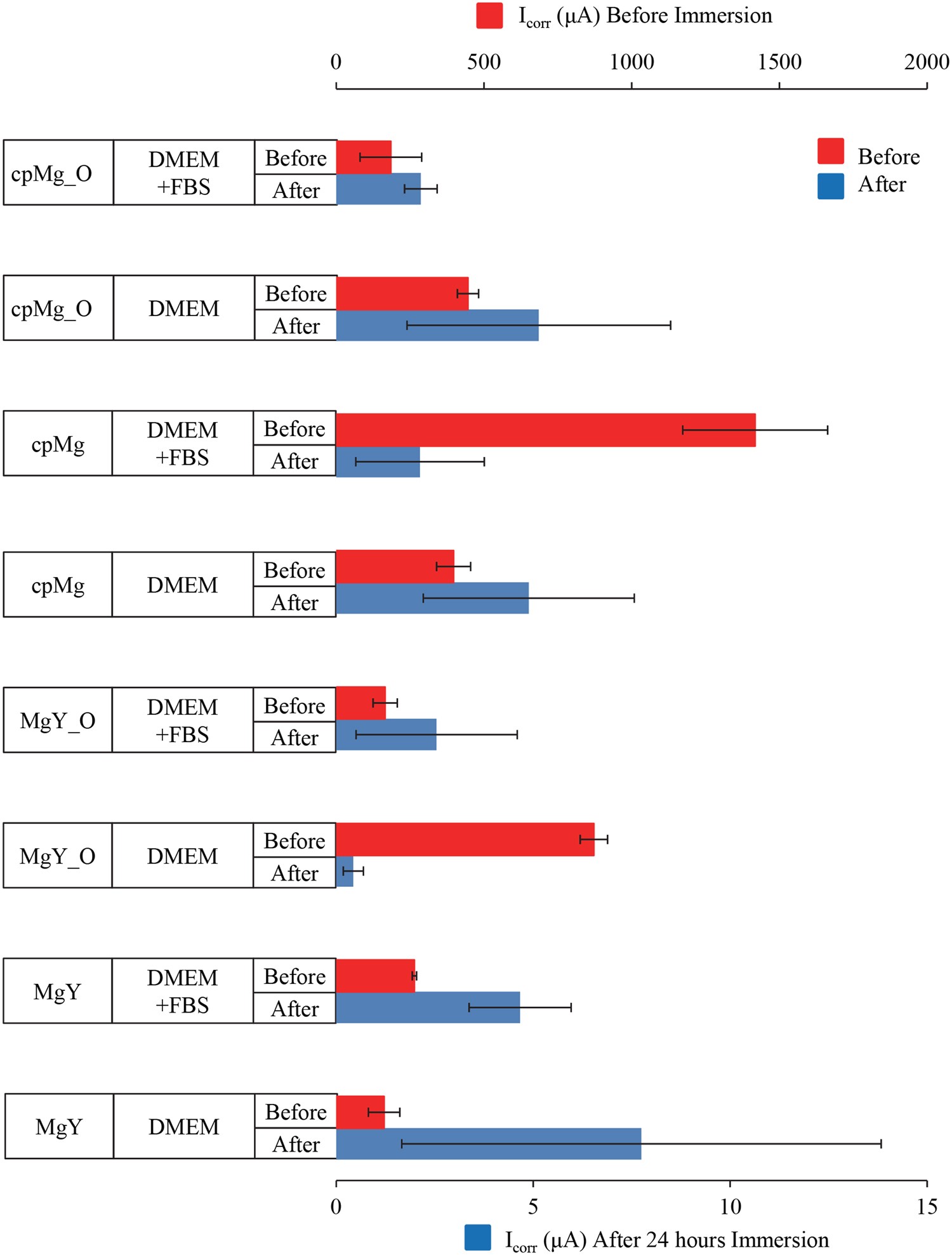
Figure 10
From: The Effects of Serum Proteins on Magnesium Alloy Degradation in Vitro

Corrosion current (Icorr) extrapolated from potentiodynamic polarization curves of cpMg* and MgY* in DMEM with and without FBS. Measurements were made before and after 24 hours of immersion. Two different scales were used for Icorr values measured before (top scale) and after immersion (bottom scale). The error bars represent the standard error.