Figure 3
From: Phononic Crystal Waveguide Transducers for Nonlinear Elastic Wave Sensing

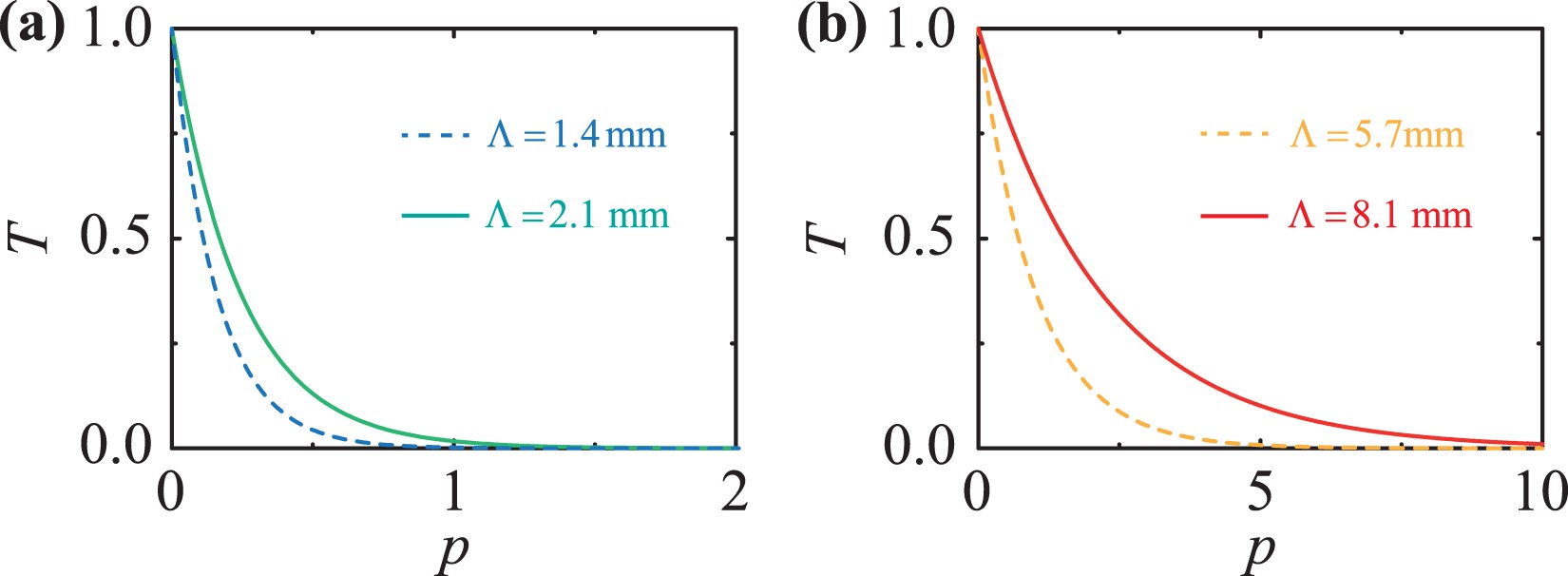
Analytical results of the transducer transmission coefficient \(T\). (a) ABS PC waveguides with \({\rm{\Lambda }}\) = 2.1 mm (green continuous line) and \({\rm{\Lambda }}\) = 1.4 mm (blue dashed line). (b) Aluminium PC waveguides with \({\rm{\Lambda }}\) = 8.1 mm (red continuous line) and \({\rm{\Lambda }}\) = 5.7 mm (yellow dashed line).