Figure 6
From: Yeast diversity in relation to the production of fuels and chemicals

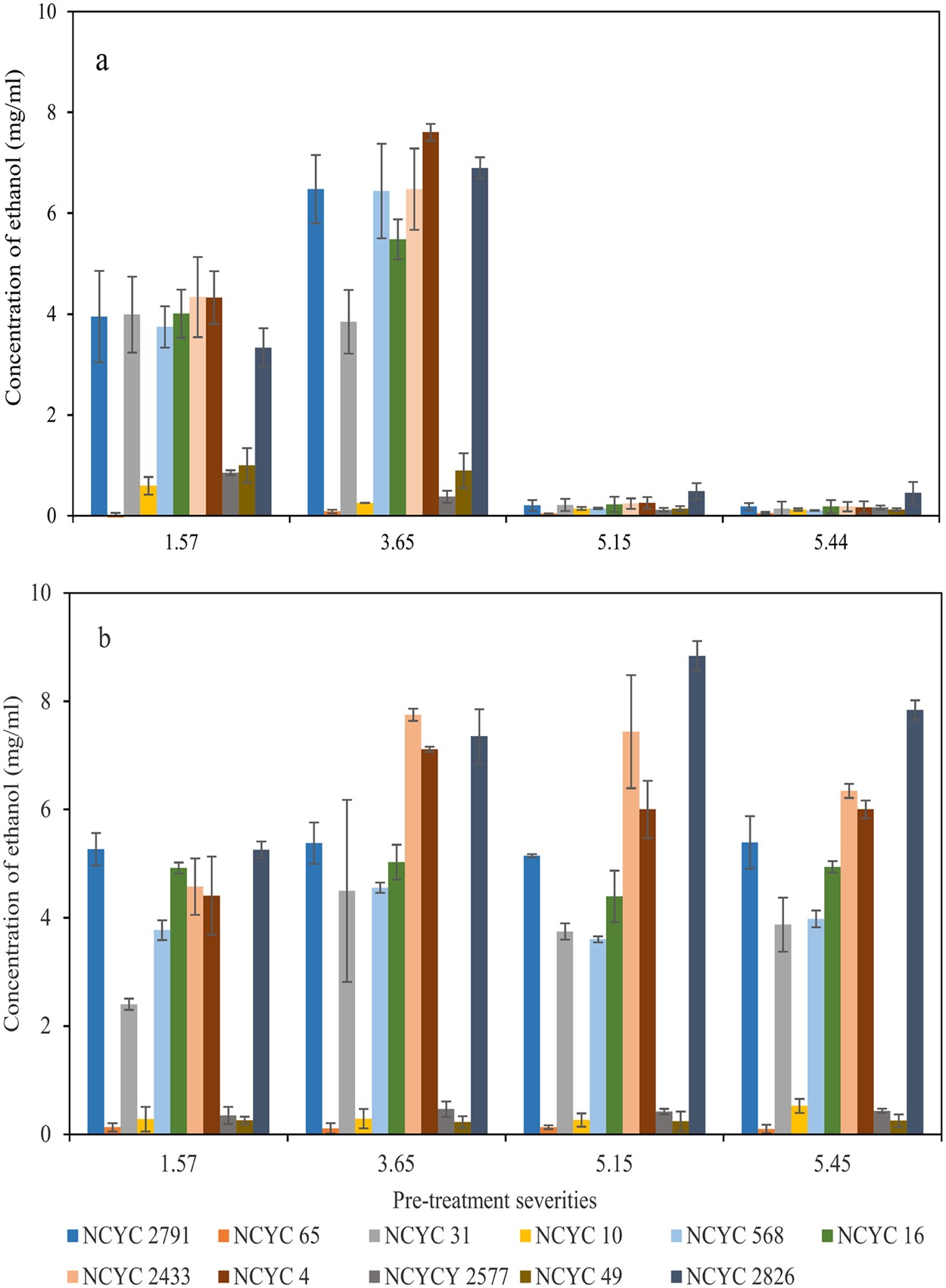
Ethanol yields of fermentation of 11 yeasts on hydrothermally pre-treated rice straw. Rice Straw had been pre-treated with 4 different severities. Figure 6(a) shows the concentration of ethanol produced from pre-treated rice straws which contained the pre-treatment liquor. Figure 6(b) shows the concentration of ethanol produced from hydrothermally pre-treated, then washed rice straw. Each coloured bar shows the concentration of ethanol produced by individual yeast strains. Concentration of substrate in fermentation slurry was 5% and maximum theoretical ethanol yield is 9.89 mg/ml. Concentration of ethanol was calculated as mg per ml of fermented liquor (w/v). N = 2.