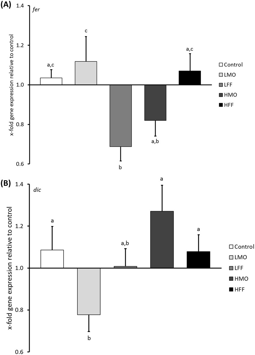
Figure 2

PHB affects the expression of (A) ferritin (fer) at 11 dph and (B) dicentracin (dic) at 22 dph in sea bass larvae. A low PHB dose from mouth opening onwards (LMO), a low PHB dose from first feeding onwards (LFF), a high PHB dose from mouth opening onwards (HMO), a high PHB dose from first feeding onwards (HFF) or no PHB (control) was administered, respectively. The figure displays the x-fold gene expression to the control. Data are presented as mean ± SEM. Treatments with different letters are significantly different at p < 0.05.