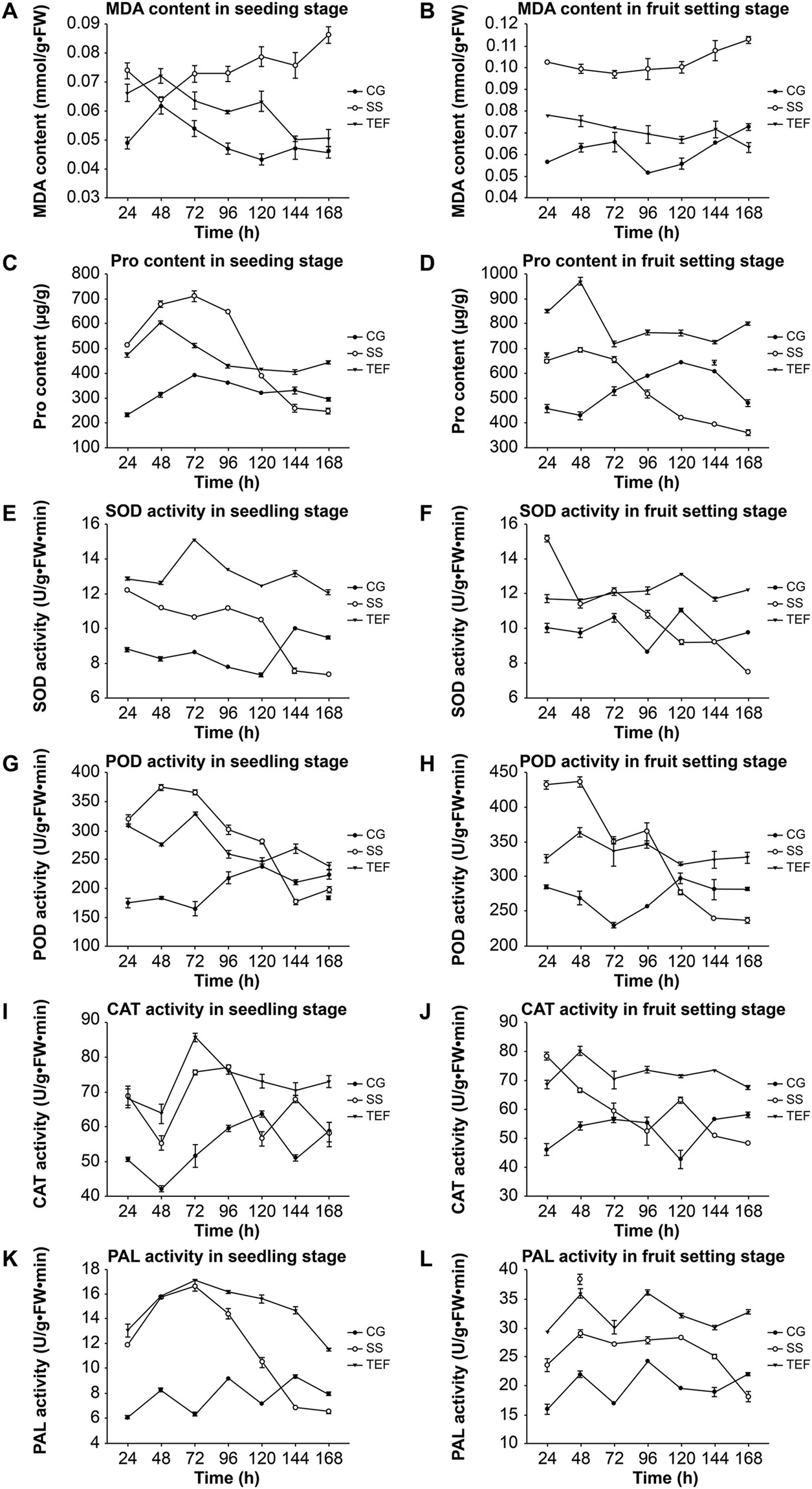
Figure 4
From: Inhibitory effect and mechanism of Tagetes erecta L. fungicide on Fusarium oxysporum f. sp. niveum

MDA and Pro content, SOD, POD, CAT, and PAL activities in leaves. MDA content at the (A) seedling and the (B) fruit blossoming stage. Pro content at the (C) seedling and the (D) fruit blossoming stage. SOD activity at the (E) seedling and the (F) fruit blossoming stage. POD activity at the (G) seedling and the (H) fruit blossoming stage. CAT activity at the (I) seedling and the (J) fruit blossoming stage. PAL activity at the (K) seedling and the (L) fruit blossoming stage. CG: control group; SS: SS treatment group; TEF: SS and 0.8 mg/mL TEF treatment group.