Figure 3
From: Effect of Time-Delayed Feedback on the Interaction of a Dimer System with its Environment

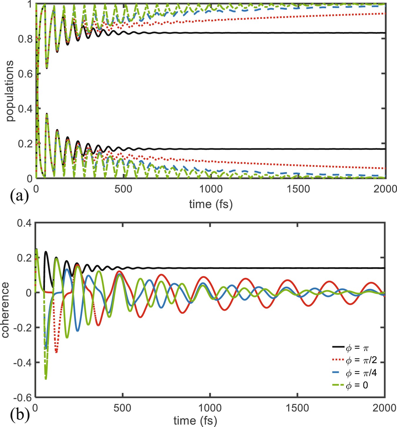
(a) Populations and (b) coherences for the dimer system with delay time \(\tau =50\) fs, coupling to the environment \({\gamma }_{0}=530\) cm−1 for different values of the phase parameter \(\varphi \).