Figure 9
From: Hf/Sb co-doping induced a high thermoelectric performance of ZrNiSn: First-principles calculation

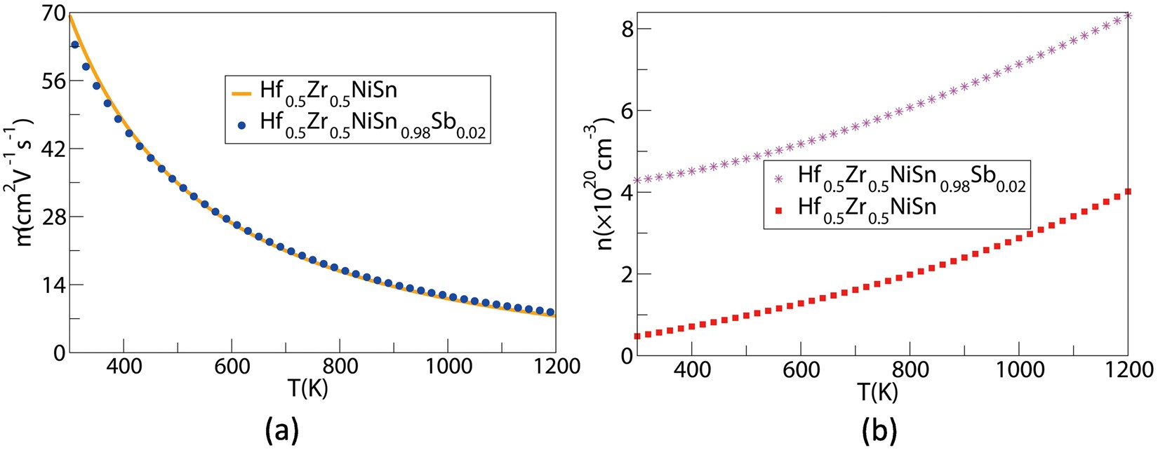
Calculated μ (a) and n (b) of Hf0.5Zr0.5NiSn1−ySby (y = 0, 0.02) as a function of temperature.
From: Hf/Sb co-doping induced a high thermoelectric performance of ZrNiSn: First-principles calculation

Calculated μ (a) and n (b) of Hf0.5Zr0.5NiSn1−ySby (y = 0, 0.02) as a function of temperature.