Figure 3
From: Hybrid Interference Induced Flat Band Localization in Bipartite Optomechanical Lattices

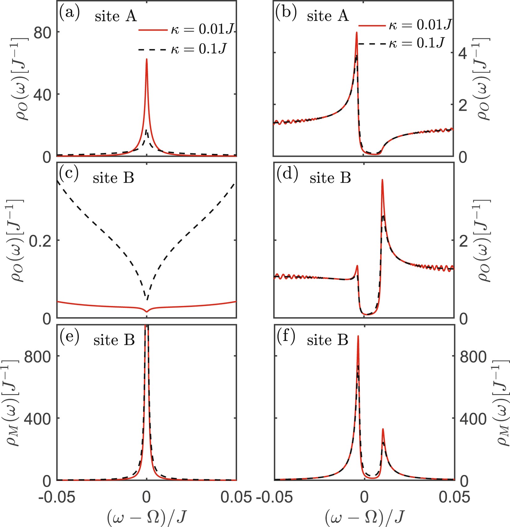
The LDOS of 1D array lattice. The LDOS of 1D array for different decay rate k. The local photon or phonon DOS of sites A and B under the condition (a,c,e) \({\rm{\Delta }}={\rm{\Omega }}\) and (b,d,f) \({\rm{\Delta }}={\rm{\Omega }}-{J}\). Here the point \({\rm{\omega }}={\rm{\Omega }}\) corresponds to the flat band in Fig. 2(a). The parameters are same as that in Fig. 2 except for \(\gamma ={10}^{-3}J\).