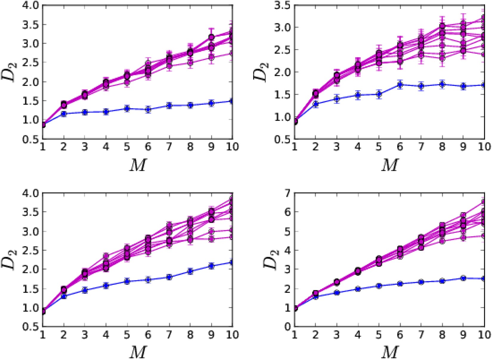
Figure 4
From: Detecting abnormality in heart dynamics from multifractal analysis of ECG signals

D 2 values as a function of embedding dimension M for four randomly chosen datasets (blue) and their surrogates (magenta). It can be seen that the D 2 values of surrogates sufficiently deviate from that of the original data.