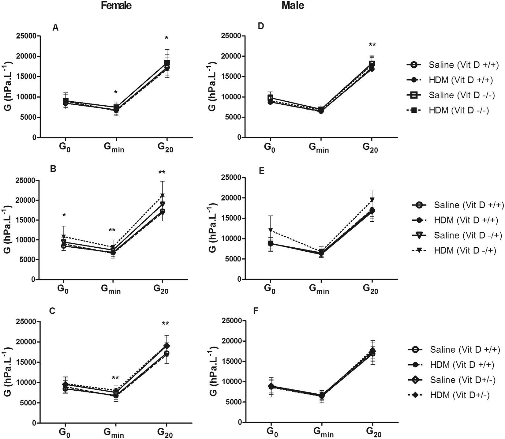
Figure 2

Tissue damping (G) at 0 cmH2O Prs (G0), 20 cmH2O Prs (G20) and the minimum (Gmin) for female (A–C) and male (D–F) saline and house dust mite (HDM) exposed mice that were vitamin D replete (Vit D +/+), whole-life vitamin D deficient (Vit D −/−; A,D), in utero vitamin D deficient (Vit D −/+; B,E) or post-natal vitamin D deficient (Vit D +/−; C,F). Data are presented as mean (SD), n = 9–13 for each group. *p < 0.05; **p < 0.01; ***p < 0.001.