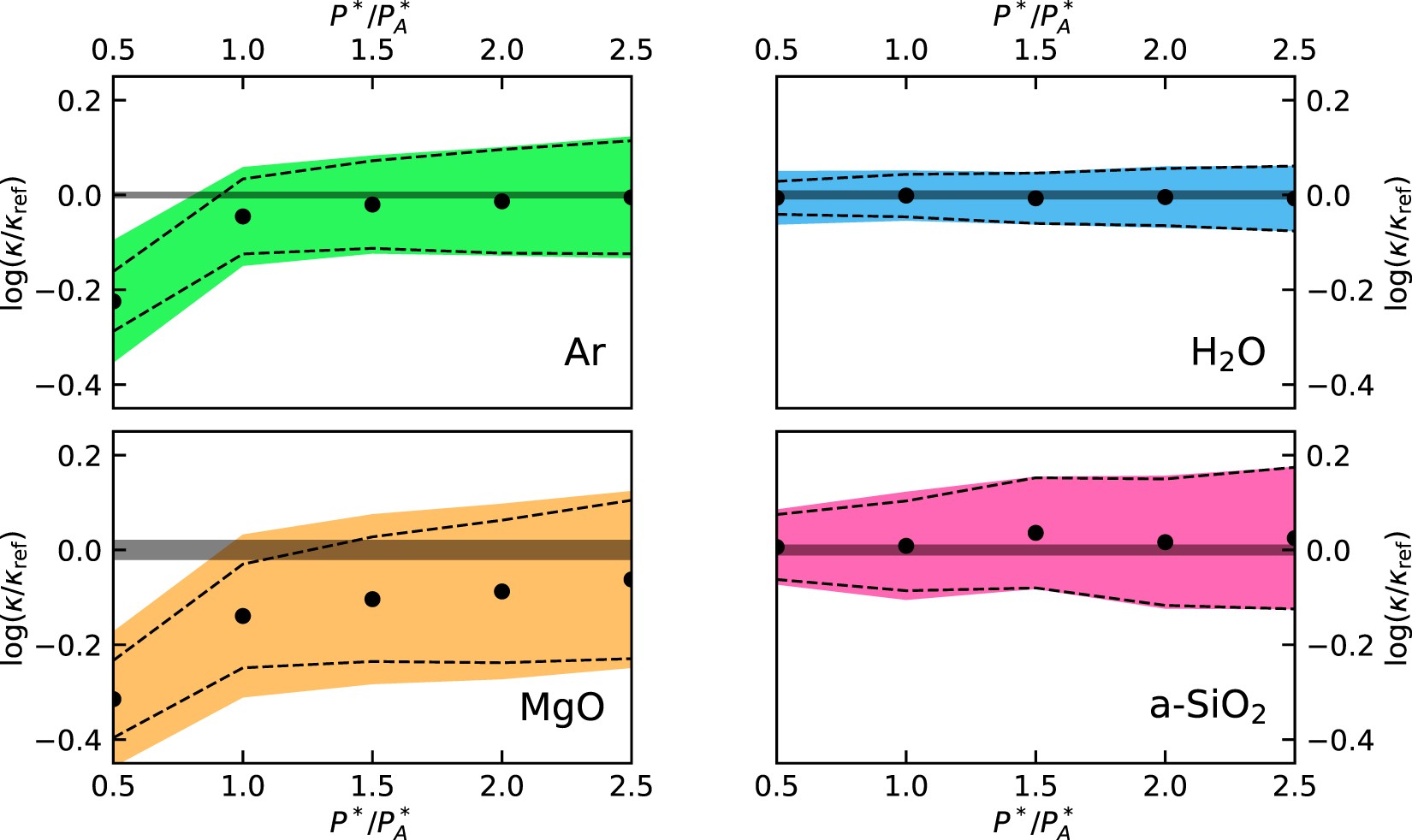
Figure 4
From: Accurate thermal conductivities from optimally short molecular dynamics simulations

Dependence of \(\mathrm{log}(\kappa )\), as estimated from Eq. (15), on the number of cepstral coefficients \({P}^{\ast }\). \({P}_{A}^{\ast }\) is the optimal number of coefficients estimated from the AIC using Eqs. (20) and (22). The black dots represent the mean values of \(\mathrm{log}(\kappa )\) computed over multiple MD segments (\(100\,{\rm{ps}}\) for Ar, H2O, and a-SiO2, and \(500\,{\rm{ps}}\) for MgO) extracted from a \(50\,{\rm{ns}}\) long trajectory; the colored bands and dashed lines represent one standard deviation as estimated from the empirical statistics and from Eq. (18), respectively. The reported data are referred to \({\kappa }_{{\rm{ref}}}\), which is the value of thermal conductivity obtained from direct integration of the current autocorrelation function in Eq. (1), combined with standard block analysis over the \(50\,{\rm{ns}}\) trajectory, and represented by the horizontal gray bands. Remember that the absolute error on \(\mathrm{log}(\kappa )\) is the relative error on \(\kappa \).