Figure 5
From: Accurate thermal conductivities from optimally short molecular dynamics simulations

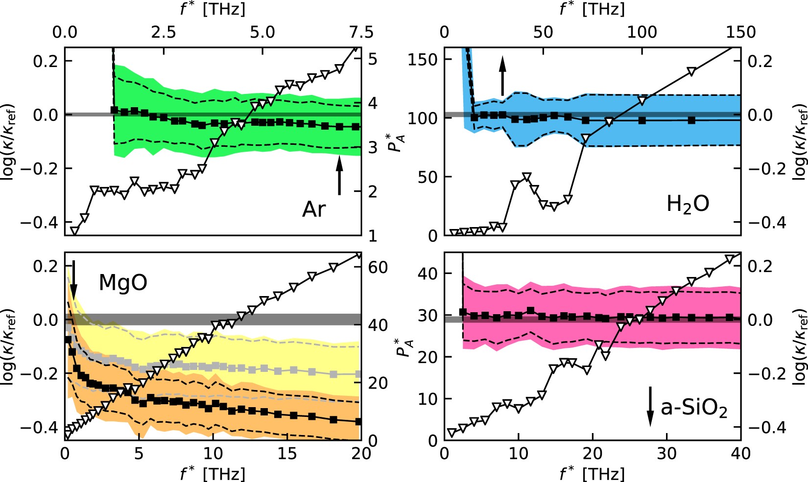
Triangles: average optimal number of cepstral coefficients, \({P}_{A}^{\ast }\), as determined by the AIC,Eqs. (20) and (22), as a function of the cutoff frequency used for cepstral analysis, \({f}^{\ast }\) (see discussion just after Eq. (22)). Squares: \(\mathrm{log}(\kappa )\) resulting from a given choice of \({f}^{\ast }\) and of the corresponding value of \({P}_{A}^{\ast }\). All the values are averages performed over multiple \(100\,{\rm{ps}}\) long segments (\(500\,{\rm{ps}}\) for MgO) extracted from a \(50\,{\rm{ns}}\) long MD trajectory, as discussed in the text. The colored bands indicate the sample standard deviation and the dashed lines that resulting from our theoretical analysis (see Eq. (18)). The vertical arrows indicate the cutoff frequencies, \({f}^{\ast }\), used for the cepstral analysis in this paper (see Fig. 1 and text). In the case of MgO, the data indicated with lighter colors are obtained using a number of cepstral coefficients twice as large as that provided by the AIC, \({P}^{\ast }=2{P}_{A}^{\ast }\). The data are referred to \({\kappa }_{{\rm{ref}}}\), which is the value of thermal conductivity obtained from direct integration of the current autocorrelation function in Eq. (1), combined with standard block analysis over the \(50\,{\rm{ns}}\) trajectory, and represented by the horizontal gray bands. Remember that the absolute error on \(\mathrm{log}(\kappa )\) is the relative error on \(\kappa \).