Figure 8

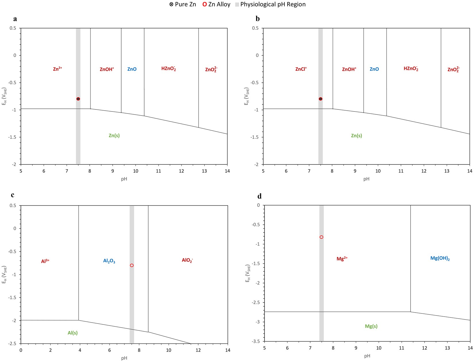
Pourbaix diagram for Zn-C-Cl-H2O system at 25 °C with Ecorr (EH) values for pure zinc and zinc alloy and the physiological pH range overlayed (adapted from [74]).

Pourbaix diagram for Zn-C-Cl-H2O system at 25 °C with Ecorr (EH) values for pure zinc and zinc alloy and the physiological pH range overlayed (adapted from [74]).