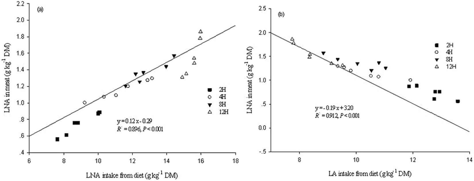
Figure 4

Relationships between amounts of LNA (a) and LA (b) intakes from diet and the LNA level deposited in lamb meat. LNA represents α-linolenic acid (C18:3 n-3), while LA represents linoleic acid (C18:2 n-6). DM is dry matter. The data used were the values of each lamb in each treatment.