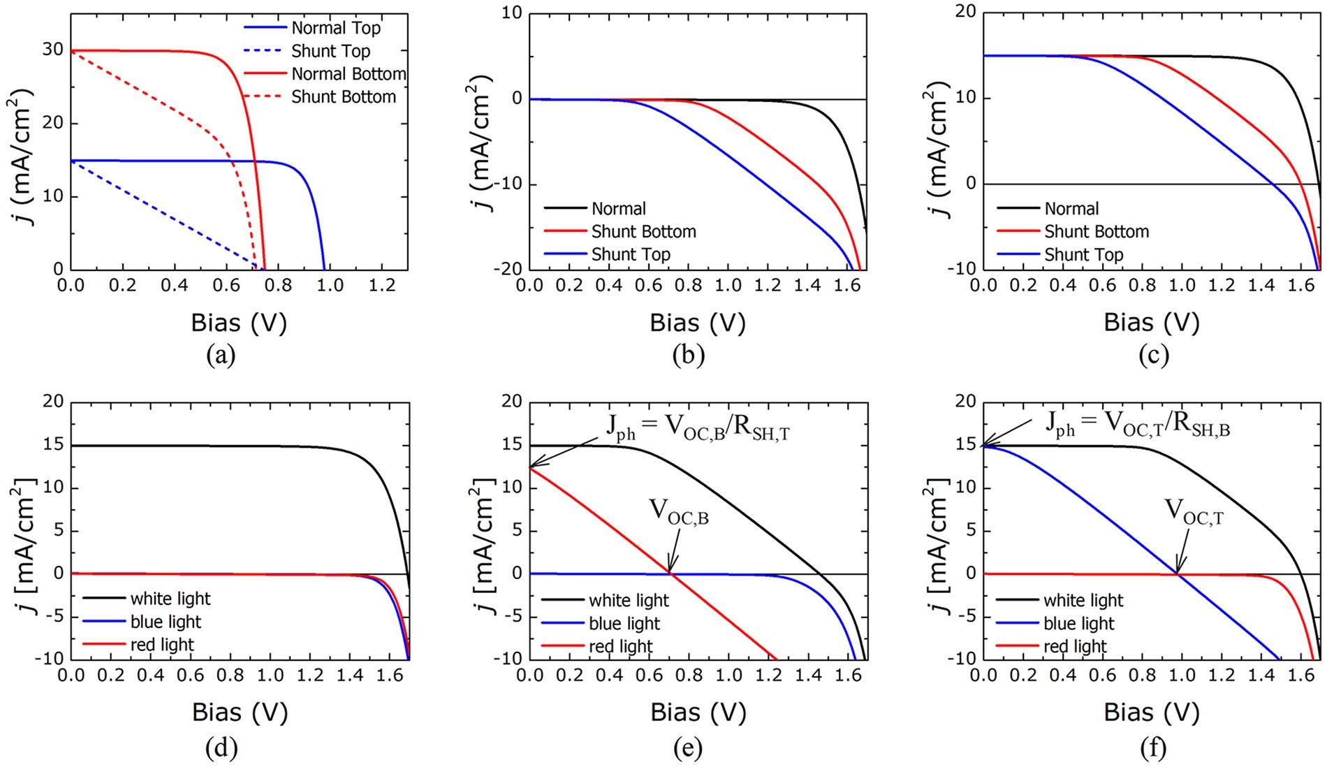
Figure 3

(a) j-V characteristics of standalone top and bottom cells under well-functioning or shunt conditions, respectively. (b,c) j-V characteristics of a tandem cell in which the subcells are all well-functioning or partially shunted (b) under the dark state, or (c) under white light illumination. (d–f) j-V characteristics under white light, blue light, or red light illumination of a tandem cell in which (d) the subcells are all well-functioning, (e) the top subcell is shunted, or (f) the bottom subcell is shunted.