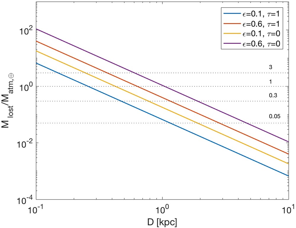
Figure 1
From: The habitability of the Milky Way during the active phase of its central supermassive black hole

The total mass lost at the end of the AGN phase of Sgr A* by a terrestrial planet at distance D from the galactic center, in units of the atmosphere mass of present day Earth. Each curve was computed assuming a value for the efficiency of hydrodynamic escape of either ε = 0.1 or ε = 0.6. An optical depth τ = 1 corresponds to locations close to the galactic plane (maximum attenuation by the AGN torus) while τ = 0 corresponds to high galactic latitudes (no attenuation).