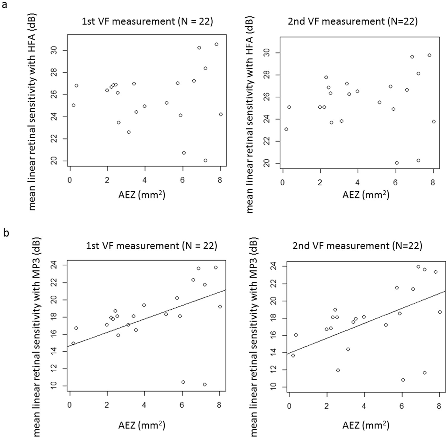
Figure 3

The relationship between mean linear retinal sensitivity with the HFA and the MP-3, and AEZ. (a) HFA. With both the first and second VFs, mean retinal sensitivity was not significantly related to AEZ (p = 0.17 and 0.66, respectively, linear mixed model). (b) MP-3. With the first VF, mean retinal linear sensitivity (dB) was significantly related to AEZ: MP-3 retinal sensitivity = 14.6 + 0.78 x AEZ (p = 0.022, linear mixed model); with the second VF, mean retinal linear sensitivity (dB) was significantly related to AEZ: MP-3 retinal sensitivity (dB) = 14.0 + 0.86 x area surrounded by EZ circular line (p = 0.032, linear mixed model). EZ: ellipsoid zone, VF: visual field, HFA: Humphrey Field Analyzer, AEZ: area surrounded by the EZ circular line.